BTC/HKD-3.55%
ETH/HKD-4.66%
LTC/HKD-4.73%
ADA/HKD-6.56%
SOL/HKD-7.23%
XRP/HKD-7.13%引言
VerkleTree作為ETH2.0升級的一個重要部分,其相比于MerkleTree,在Proof的大小上,有著很大的提升;對于規模在十億級別的數據,MerkleTree的proof大約需要1kB,而對于VerkleTree,它將小于150Bytes。
VerkleTree的概念在2018年推出,具體的可以參考論文VerkleTree;本文將主要介紹VerkleTree的原理。
MerkleTree?
MerkleTree是一種常見的Accumulator,它可以用來證明某個元素存在于Accumulator中,如下圖所示:

Binance將于7月13日下架QTUM、ZEN等七個幣種逐倉杠桿交易對:7月7日消息,根據官方公告,Binance將于北京時間7月10日14點暫停ATA/BUSD、FORTH/BUSD、JST/BUSD、QTUM/BUSD、SUN/BUSD、ZEN/BUSD、ZRX/BUSD逐倉杠桿借貸;7月13日14點將對上述七個幣種持倉用戶進行平倉、自動結算并下架逐倉杠桿交易對。[2023/7/7 22:24:19]
如果想要證明=(06:32)在這個Tree中,那圖中所有紅色標記的node都需要包含在Proof中,然后verifier根據圖中所示的路徑計算出Root,并和期望的Root進行比較。

歐洲央行考慮在分布式賬本技術平臺上以歐元結算金融交易:金色財經報道,歐洲央行目前正在考慮是否發行零售央行數字貨幣(CBDC),供普通交易者和公民使用,包括那些使用加密貨幣基礎技術的市場。
根據歐洲央行周五發布的一份聲明,使用歐元貨幣的中央銀行(統稱為歐元系統)正在 \"研究DLT(分布式賬本)平臺上記錄的批發金融交易如何以中央銀行貨幣結算\"。該計劃的目的是鞏固和進一步發展歐元體系中央銀行在該領域正在進行的工作,并深入了解不同的解決方案如何促進 TARGET 服務與分布式賬本技術平臺之間的交互。[2023/4/28 14:33:15]
VerkleTrees-concept

Web3 任務平臺 Crew3 更名為 Zealy:4月4日消息,Web3 任務平臺 Crew3 宣布更名為 Zealy。Zealy 表示將在接下來幾周和幾個月進行 UX/UI 優化以及發布包括鏈上獎勵等的功能。
去年 Crew3 在由 Redalpine 領投的一輪融資中籌集到 350 萬美元。[2023/4/4 13:44:38]



Solana Labs創始人:鏈上投票導致網絡中斷的說法是出于“純粹的無知”:2月28日消息,對于Solana 2月25日的網絡中斷,推特用戶 DBCryptoX發布了有爭議的帖子,表明大量驗證者消息和鏈上投票正在阻塞網絡。Solana Labs創始人兼首席執行官Anatoly Yakovenko回應稱其言論來自“純粹的無知”,并指出,作為“單一龐大法定人數”的一部分,投票有助于同時提供“出色的安全性、高吞吐量和低費用”。然而,Yakovenko并沒有完全反駁DBCryptoX的說法,即Solana上90-95%的交易都包含這些驗證者消息和鏈上投票,DBCryptoX認為這有助于“使系統陷入困境”。
此前金色財經報道,Solana官方稱,2月25日發生的主網宕機原因尚未明確,正在積極調查中。(Cointelegraph)[2023/2/28 12:33:49]

Covalent為數據驅動的區塊鏈技能項目擴大招聘范圍:金色財經報道,由Coinbase Ventures和Binance Labs支持的 Web3 數據提供商和統一 API 密鑰創建者Covalent今天宣布了一項新的Data Alchemist Boot-Camp計劃,旨在彌合在技術領域尋求就業的工人的技能差距或植根于數據分析的Web3公司。該計劃旨在促進個人在區塊鏈領域的專業發展。(businesswire)[2022/9/22 7:12:40]
Basis
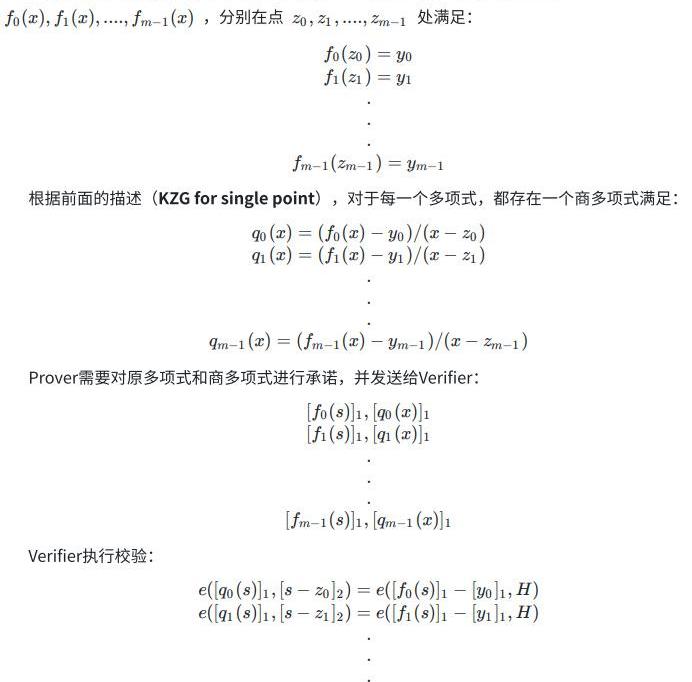
KZGforsinglepoint

因為s是有限域F上隨機選取的?個點,因此,prover作惡成功的概率為degree(Q)/P。
KZGformulti-points

VerkleTree-ETH

Compressformulti-polys

很明顯,我們并不想讓Verifier執行這么多次的配對操作。因此,我們需要進行一次Compress,具體如下:



Keypropertie

參考?
1.PCSmultiproofsusingrandomevaluation-Dankrad?Feist:?
https://dankradfeist.de/ethereum/2021/06/18/pcs-multiproofs.html
2.?Verkletrees-vitalik:https://vitalik.ca/general/2021/06/18/verkle.html??
3.?VerkleTreespaper:?
https://math.mit.edu/research/highschool/primes/materials/2018/Kuszmaul.pdf?
4.?Vectorcommitment:https://eprint.iacr.org/2011/495.pdf
5.?Lagrangeinterpolation:https://en.wikipedia.org/wiki/Lagrange_polynomial?
6.?KZG10:https://dankradfeist.de/ethereum/2020/06/16/kate-polynomial-commitments.html
7.?IPA:https://twitter.com/VitalikButerin/status/1371844878968176647
8.?Schwartz–Zippellemma:https://en.wikipedia.org/wiki/Schwartz%E2%80%93Zippel_lemma
關于我們
Sin7y成立于2021年,由頂尖的區塊鏈開發者和密碼學工程師組成。我們既是項目孵化器也是區塊鏈技術研究團隊,探索EVM、Layer2、跨鏈、隱私計算、自主支付解決方案等最重要和最前沿的技術。
微信公眾號:Sin7y
GitHub:Sin7y
Twitter:@Sin7y_Labs
Medium:Sin7y
Mirror:Sin7y
HackMD:Sin7y
HackerNoon:Sin7y
Email:contact@sin7y.org
來源:金色財經
Tags:TREEERKETRVERhighstreet幣幣圈子CYBERKONGZVetriUniversidad de Chile Fan Token
“在以太坊成功由工作量證明PoW過渡到權益證明PoS后,ETH不漲反跌,但根據TheBlock的報道分析,ETH的衍生性商品交易量持續增加,由資金費率和選擇權市場資訊看來.
1900/1/1 0:00:00美國聯準會在21日宣布再度升息3碼的次日,聯準會隔夜逆回購工具使用量在22日攀升至歷史新高,約102個參與方,總計投入2.359兆美元的資金.
1900/1/1 0:00:00交易中,心態的重要性大家都會有所感悟。在市場中更是有這樣一句話是“三分技術,七分心態。”想必大家都有聽說過。很多投資者也是越做心態越差,越做越沒信心,越做膽子越小.
1900/1/1 0:00:00近期,SaferciFund,通過多重高精度算法推出策略量化交易,為外匯投資提供最優方案,解決外匯交易的不確定性,以保障用戶資金長期穩定增值與安全流動為核心.
1900/1/1 0:00:00在6月份,前美國財長部長、現哈佛大學教授薩默斯在媒體訪談節目中就提醒美聯儲不要重復當年的錯誤。紐交所上市礦企BIT Mining:將于5月30日發布一季度財報:金色財經報道,紐約證券交易所上市礦.
1900/1/1 0:00:00一位受歡迎的加密貨幣分析師預測,比特幣(BTC)將在2023年達到六位數的看漲之路。這位化名為Credible的分析師在他的推特上做出了這一預測,同時向他的超過30萬粉絲發表了講話.
1900/1/1 0:00:00