BTC/HKD-3.12%
ETH/HKD-3.25%
LTC/HKD-0.96%
ADA/HKD-2.85%
SOL/HKD-6.93%
XRP/HKD-2.36%注:原文來自,通過這種不斷迭代的方式逼近函數零點,從而得到y值。

3)CurveTriCrypto-NGPool
curve的gas消耗巨頭是因為,它需要在合約上進行求解非線形方程。
這里涉及到兩個函數:get_D,get_Y。這里都需要進行255次循環,每次循環都是算出最新的梯度后的切線方程,得到最新的D和Y值。直到收斂為止。

趙長鵬:不相信Circle會投訴幣安,專業的同行不會這樣做:2月15日消息,趙長鵬在幣安官方Twitter Space上發言批評彭博社關于 Circle 向紐約州金融服務部(NYDFS)投訴幣安的報道,“我真的不相信 Circle 會那樣做,我認為專業的行業同行不會想對另一個行業同行這樣做。”趙長鵬表示,“正如我們現在所看到的那樣,它只會傷害整個行業......我現在不會太認真地對待那篇文章。”
金色財經此前報道,Circle去年向紐約州金融服務部(NYDFS)投訴競爭對手幣安對其自有代幣的儲備管理不善,提醒監管機構注意幣安儲備金不足以支撐BUSD。[2023/2/15 12:07:25]

美國證交會原主席:監管需跟上科技變革步伐:金色財經報道,2月4日,2022中國(深圳)金融科技全球峰會在深圳五洲賓館舉辦。峰會上,美國證券交易委員會原主席瑪麗·夏皮羅表示,科技進步為金融創新帶來了更大的空間,也為市場參與者提供了無限機遇,新興先進技術不僅可以讓市場運行更高效,還能促進資本形成,并提高投資者所獲得的數據質量,但機遇到來的同時也伴隨著風險,因此監管跟上科技變革的步伐十分重要。(證券時報)[2023/2/4 11:47:13]
4)CurveTriCrypto-NGPool
所以,TNG的核心就是:如何在數學上進行優化,更快地求解非線性方程。這里提出了兩個方法來替代原有的get_D和get_y:newton_D和newton_Y。
MakerDAO發布提案:將提高Compound D3M債務上限:金色財經報道,MakerDAO的公開市場委員會已尋求社區批準,將其Compound DAI直接存款模塊(Compound V2 D3M)的最大債務上限提高300%,并設定目標可用債務在同一個金庫上有500萬DAI。?根據其操作手冊,MakerDAO的DAI直接存款模塊 (D3M) 是一種工具,可以創建 DAI 并將其存入以太坊區塊鏈上的其他借貸協議,以換取來自這些協議的存款/抵押代幣。它允許MakerDAO通過其他借貸協議分發新鑄造的DAI,同時保持對DAI的全面支持。
2022年12月,D3M部署在Compound Finance上,DAI供應量為500萬個DAO代幣。最高債務上限也固定在500萬DAI。此外,如果新提案獲得通過,Compound V2 D3M的目標可用債務也將設置為500萬DAI。[2023/1/29 11:34:36]

LightningWorks推出互動漫畫書和游戲《零度世界》:金色財經報道,漫畫 NFT項目LightningWorks 今天在以太坊上推出了世界上第一本互動漫畫書的收藏版《零度世界》。藝術團隊還包括DG Franchin,他曾為MARVEL漫畫公司的Xmen和Spiderman繪制頁面。[2023/1/21 11:24:04]
5)CurveTriCrypto-NGPool
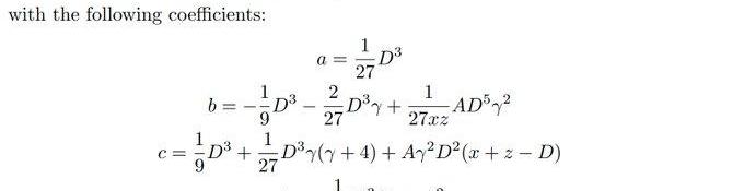
對于求解D值,TNG摒棄了牛頓迭代,采用了Halley方法進行求根。“數值分析中,Halley方法是一種求根算法,用於計算具有連續二階導數的一個實變量的函數。它以其發明者愛德蒙·哈雷的名字命名。”
6)CurveTriCrypto-NGPool
這里我們可以看到,我們只需要知道一階取導,二階取導,和函數的f(x)值,只要函數滿足三階可導:我們可以輕松計算F(x+1)。碰巧的是,tricrypto最終的擬合曲線就是三階可導。所以,這里采用Halley'smethod用來求解,可以優化求解D值使用牛頓迭代法的弊端。

7)CurveTriCrypto-NGPool
至于y值,curver提出了一種新的找到新y值的方法。我們也不使用牛頓法,因為它是一個迭代過程,只能給出近似解,而是推導出一個新y的精確公式。采用更容易求解的逼近解,來替代牛頓迭代,從而極大地降低gas。

7)CurveTriCrypto-NGPool關鍵
1.利用Halley'smethod來直接求解三階可導的非線形方程,直接得出f(x+1),從而摒棄效率低下的牛頓迭代法。
2.基于Halley'smethod得出的D值,采用超高效的近似值來直接計算get_y,從而摒棄效率低下的牛頓迭代法。從而極大的降低了gas。
8)CurveTriCrypto-NGPool
我覺得這個非常非常牛逼,趕超uniV3指日可待。emm,我今天竭盡了全力讓DEX組把接入TNGPool列為T0優先級。我認為以后聚合器的大部分流量都會走TNGPool。但希望我這個小小的底層碼農能自上而下推得動吧~~我是盡力了~@taowang1@mrblocktw@CurveFi_Asia
9)CurveTriCrypto-NGPool的重要性
關于TNG的重要性@DeFi_Cheetah在這篇影響力非常大的推文上分析了
https://twitter.com/DeFi_Cheetah/status/1653581567774855168…
1.解決了curve算法歷史悠久的gas昂貴的問題,從而在以太坊上可以勝出uniV3,從而進一步蠶食AMM的市場,從而提高veCrv的利潤。
2.降低crvUsd使用LLAMMA清算成本。
10)CurveTriCrypto-NGPool
我幾乎把市面上的AMM協議全部接了個遍。我可以給出的結論就是:目前幾乎沒有dex還會繼續優化/創新的算法。這就是為什么我深入研究了之后感覺到震驚。
例如:非常流行的就是ve(3,3)的fork,大家都只是在激勵上繼續摸索;再例如:uniswap甚至直接做nftmarket去了。
11)總結
當然,目前curve還有蠻多問題的,社區上還可以繼續吸收一些:“更牛逼的前端工程師”,“后端架構師”,從而提升用戶體驗。(或者直接外包給大廠吧。
但,目前遇到的問題,我覺得這些都是可以解決的。
想了很久為什么如此相信curve,可能是僅僅因為相信數學吧。
注:本文來自@NintendoDoomed推特,其深入了解加密并向加密貨幣建設者+投資者提供咨詢建議,原推內容由MarsBit整理如下:Blur近日推出Blend這一P2PNFT借貸協議.
1900/1/1 0:00:00近年來,IT技術發展非常迅猛,大數據、云計算、網絡基礎設施、移動互聯網都在快速發展,特別是近來熱度很高的區塊鏈技術。當前金融界用得比較多的詞是FinTech,最近又出了BigTech.
1900/1/1 0:00:00自人類歷史的黎明以來,集體故事一直定義著我們的文化,并豐富了我們對世界的理解;講故事的人一直是塑造這些敘事的推動力.
1900/1/1 0:00:00Ordinals和BRC-20成功刮起“在比特幣上發行資產”的風潮,但顯然它可能并不是最后一個.
1900/1/1 0:00:00重要說明 ERC-4337是建立在以太坊虛擬機之上的一個新標準,它增強了基于以太坊的區塊鏈上的智能合約錢包.
1900/1/1 0:00:00最近Brc20生態上的土狗雖然熱度下來了,但是還有很多人想入場。或者說還有狠人沒有搞懂brc20的玩法,那我們就來看看即使你不懂代碼,怎么在Brc20平臺上發幣、買幣、轉幣.
1900/1/1 0:00:00