BTC/HKD-2.19%
ETH/HKD-1.32%
LTC/HKD+0.36%
ADA/HKD-1.51%
SOL/HKD-4.58%
XRP/HKD-1.59%來源:人大金融科技研究所,作者:易格格,馬舒玥,李紅亮,張孝茹,張馨予
互聯網信息技術的發展推動世界進入了大數據時代,中國商業銀行的生態環境也隨之發生了比較大的轉變,競爭態勢的變化、客戶的金融需求和監管制度的變化都對商業銀行的生存和發展提出了較大的挑戰,為了增強服務供給能力,有效提升自身的核心競爭力,商業銀行有必要進行數字化轉型發展來推動其成長進步。本文主要對數字貨幣及其對商業銀行的影響進行研究,從數字貨幣的相關概述、商業銀行客戶邊界、活期存款穩定性和貨幣創造這幾個方面進行具體闡述。
引言
隨著世界經濟的聯動發展和互聯網科技的進步,在全球經濟總量跨越式發展的同時也驅動著全球經濟結構的優化改變。在這樣的時代背景下,大多數國家在支付領域追求更高水平的升級。數字經濟和實體經濟的充分融合發展也加快了傳統貨幣體系的轉型升級的步伐,海量儲存、安全交易、數據分析等技術的日漸成熟也為法定數字貨幣的發行提供了強大的支撐。各種數字貨幣得到了前所未有的發展,在全球范圍的應用正加速到來。雖然在貨幣的技術共識、規則共識和安全共識等方面尚未成熟和完善,但仍然引起人們的廣泛關注。
中國央行率先進行了央行數字貨幣的試點,央行數字貨幣,DCEP字面意思為數字貨幣和電子支付工具。我國央行數字貨幣是人民幣的一種數字形式,是人民銀行發行,由指定的運營機構進行運營并向公眾兌換,它基于廣義賬戶體系,支持銀行賬戶松耦合功能,與紙鈔和硬幣等價,是具有價值特征和法償性的可控匿名支付工具。
互聯網信息技術的發展推動世界進入了大數據時代,中國商業銀行的生態環境也隨之發生了比較大的轉變,競爭態勢的變化、客戶的金融需求和監管制度的變化都對商業銀行的生存和發展提出了較大的挑戰,為了增強服務供給能力,有效提升自身的核心競爭力,商業銀行有必要進行數字化轉型發展來推動其成長進步。數字人民幣為商業銀行的數字化轉型方面帶來機會和一定的挑戰。
數字貨幣的發展及和會對經濟發展以及商業銀行產生重要的影響,因此,應當跟隨時代潮流,分析數字貨幣的特點和性質,并研究其對商業銀行的影響。我們主要對數字貨幣及其對商業銀行的影響進行研究,從數字貨幣的相關概述、商業銀行客戶邊界、活期存款穩定性和貨幣創造這幾個方面進行具體闡述。
數字貨幣簡介
發展歷程
近年來,隨著比特幣、Libra等虛擬貨幣的出現以及電子支付的流行,為了保障支付的安全性和金融系統的穩定性,一些國家的央行開始研究推出法定數字貨幣。法定數字貨幣是指由國家法定貨幣發行機構發行的,具有國家信用背書、有無限法償能力的電子貨幣。中國央行較早進行了數字貨幣的論證研究并開展了實質性的發行推廣工作。
2014年,中國人民銀行成立法定數字貨幣研究小組,論證發行法定數字貨幣的可行性,經過六年的分析論證、技術研究、風險規范等,于2020年4月,在深圳、蘇州、雄安新區、成都及未來的冬奧場景進行內部封閉試點測試。
美聯儲卡什卡利:對央行數字貨幣必要性的懷疑態度已變得強硬起來:10月7日消息,美聯儲卡什卡利表示,盡管仍持開放態度,但我對央行數字貨幣必要性的懷疑態度已變得強硬起來。[2022/10/7 18:41:18]
2020年10月,央行開展了數字人民幣紅包試點,意味著數字人民幣測試進入“半開放”階段。
表1近一年央行數字人民幣推進相關重要事件覽

特點
1.?雙層運營機制
第一層:中國人民銀行,統籌額度與標準、全量信息管理、數字錢包管理、基礎設施建設;第二層:指定商業銀行,提供數字人民幣的兌換業務;其他商業銀行和非銀支付機構:可以承擔流通服務,可理解為2.5層。
商業銀行向中國人民銀行交付100%的準備金,人民銀行給予商業銀行等額的數字人民幣,接下來用戶通過現金或者存款等向商業銀行兌換數字人民幣。如果人民銀行直接面向用戶,人民銀行就需要面對全中國所有的消費者,則需要設計一個既滿足用戶體驗又滿足高性能要求的系統,所以最好的方式是由市場經濟來決定,也就是說將面向用戶的那一端交給商業銀行或者機構來做,充分發揮市場競爭的作用。

資料來源:《關于央行數字貨幣的幾點考慮》,《關于數字人民幣M0定位的政策含義分析》
圖1雙層運營體系下的數字人民幣運營模式
2.?央行保持技術中立
中國人民銀行數字貨幣研究所所長穆長春在演講中透露,中國人民銀行數字貨幣研究小組最開始研究央行數字貨幣的時候,做過一個完全采用區塊鏈架構的原型,但基于現有技術,無法達到零售級別的高并發要求。所以,最終央行層面保持技術中性,不預設技術路線,也不依賴某一種技術。也就是說,只要商業機構能夠滿足央行對于數字人民幣的技術規范以及用戶體驗等的要求,采取任何區塊鏈或傳統技術都可以。不設技術路線,意味著只要央行的數字人民幣技術鋪設成熟,商業銀行就可以很快與之對接,這將大大縮短數字人民幣推出的時間,在全球搶占領先權。
3.?數字人民幣主要取代M0
數字人民幣定位于M0的部分替代,功能和屬性與目前流通中的紙鈔完全一樣,本質是央行(而非支付機構)對貨幣持有者(居民或企業)的負債,具有無限法償性。M0數字化是貨幣發展規律和支付需求催化的供給側結構性改革。隨著信息技術發展,批發資金依托支付系統實現了電子化,支持M1和M2流通的銀行間支付清算系統(如大小額支付系統和網上支付跨行清算系統等)、商業銀行行內系統以及非銀行支付機構等各類支付系統不斷完善升級,較好地滿足了經濟發展需要。用數字人民幣替代M1和M2,既無助于提高支付效率,也會造成現有系統和資源的巨大浪費。而電子支付工具基于現有銀行帳戶緊耦合的模式,公眾對匿名支付的需求又不能完全滿足。所以電子支付工具無法完全替代M0。
廣發證券:央行數字貨幣取代現金是未來的大趨勢:廣發證券認為,數字貨幣相對現金可進一步降低交易成本,數字貨幣取代現金是未來的大趨勢。央行數字貨幣落地過程中建議關注網絡安全廠商、IT服務廠商、機具廠商等三條主線。參考ETC落地過程,在央行數字貨幣落地過程中,相關產業鏈環節廠商均有望受益。(證券時報網)[2020/5/14]
不依托現有的銀行賬戶體系就可以實現價值轉移,也即銀行賬戶松耦合的特點。這意味用戶在使用數字人民幣時不需要綁定銀行賬戶即可進行轉賬支付,這對海外那些處于貧困偏遠地區,以及缺少傳統金融基礎設施的民眾具有很強的吸引力。
不計付利息。
安全保障
1.安全性
要求防止商務中任意一方更改或者非法使用數字貨幣,這個更多的是體現在對數字人民幣使用的監管上,甚至于說可以終止某次非法的交易。
2.不可重復花費性
指數字貨幣只能使用一次,重復花費容易被檢查出來。
3.可控匿名性
即使商業銀行和商戶相互勾結,也不能跟蹤數字人民幣的使用,即除了數字人民幣的發行方外,其他的機構都無法追蹤用戶的購買行為。
4.不可偽造性
除了發行方以外,不能偽造假的數字貨幣,只有經過央行的私鑰簽名的才是真的數字人民幣。
5.公平性
支付過程是公平的,保證交易雙方的交易過程要么都成功,要么都失敗,即滿足交易原子性。
6.兼容性
數字人民幣的發行和流通環節,要盡可能的參照現金的發行與流通。數字貨幣的使用應該遵守現行的所有關于現鈔管理和反洗錢、反恐融資等規定,對央行數字貨幣大額及可疑交易可向人民銀行報告。
與電子支付的對比
數字人民幣是數字化的人民幣現金,由央行結算,且具有法償性,數字人民幣支付是第一層的直接支付手段。而支付寶、微信支付是一種第三方支付手段,由商業銀行存儲貨幣結算,存在極小概率的破產風險,沒有法律上的法償性,因此可以有用戶不支持支付寶或微信支付。數字人民幣也可實現比支付寶、微信支付安全程度與額度更高的離線支付。
表2數字人民幣與電子支付的對比

商業銀行客戶邊界
數字貨幣的推行有利于商業銀行提高支付領域的市場份額
目前,支付寶、微信等第三方支付平臺在國內支付市場占有較大市場份額,雖然商業銀行一直試圖通過創新支付技術、加大營銷和優惠力度、完善支付場景等手段提高在支付結算領域的市場份額,但是由于商業銀行存在客群分割、體驗不佳、結算系統運行低效等問題,目前收效甚微。相比傳統商業銀行支付結算,數字人民幣的支付結算將有效解決客群分割、體驗不佳等問題。
高偉達澄清:公司未直接參與央行數字貨幣的研發工作:高偉達(300465.SZ)發布澄清公告稱,截至目前,公司業務收入中并未有關于數字貨幣的研發成果而直接產生的業務收入。公司未直接參與央行數字貨幣的研發工作。同時,公司會積極關注數字貨幣技術給銀行科技帶來的市場商機。(財聯社)[2020/4/16]
一方面,在傳統商業銀行依托銀行賬戶的支付結算中,客戶必須下載和使用特定的相關商業銀行APP,會存在部分客戶難以掌握操作流程等問題,覆蓋客群有限;而數字人民幣采用賬戶松耦合方式,用戶無需綁定銀行賬戶和登記個人信息就可以使用數字貨幣進行交易和結算活動,即降低了使用門檻,有效的解決了客群分割這一局限性。
另一方面,為充分調動各運營機構的技術創新積極性,預計央行在數字人民幣的發行過程中將保持技術中立,由參與數字人民幣發行的商業銀行和市場機構自主選擇技術路徑,這將有助于商業銀行之間充分自由競爭,進而促使各商業銀行不斷提高交易支付結算的技術水平,增強客戶體驗。
相比第三方支付平臺,數字人民幣具有更高效、更安全的交易結算系統。第三方支付本質上基于銀行賬戶電子化交易結算,而銀行賬戶電子化交易結算環節較為繁瑣,結算完成時間較長,結算效率較低。相較而言,數字人民幣交易采取點對點實時結算,省去了中間的對賬、復核等環節,交易結算更為便捷。此外,數字人民幣的交易結算依托于央行和商業銀行強大的系統支撐,安全性遠高于第三方支付平臺。
數字貨幣的推行有利于商業銀行拓展業務邊界
商業銀行可以以支付結算為切入點,進而提供個性化的在線綜合金融服務。當前,商業銀行僅掌握客戶銀行賬戶往來交易數據,而不掌握客戶線下現金交易數據,數字人民幣的推廣則將當前線下現金交易轉移至線上的數字錢包,使得商業銀行能夠掌握客戶現金往來和賬戶資金往來的全量閉環現金流。這將有助于商業銀行應用大數據和人工智能等新興技術,以客戶全量資金往來為基點,精準分析客戶風險偏好、資金特點以及資產分布等,根據客戶的個性化特點有針對性的推出涵蓋理財、基金、股票、貴金屬、保險、借貸、資金歸集等在內的個性化在線綜合金融服務,進一步鞏固金融服務能力,實現“用戶”到“客戶”的轉化。
數字貨幣的推行有利于商業銀行提高客戶服務體驗,拓寬收入來源
商業銀行可積極引入其他商業生態,進而獲得低成本存款沉淀。商業銀行可以以數字人民幣的推廣為切入點,不斷完善支付結算、資金管理和歸集等基礎設施服務,積極引入線上線下消費生態,打造涵蓋吃、穿、住、行、娛樂、教育等在內的便捷化消費場景,比如和日常消費場所如餐館、電影院等達成協議。通過不斷提高用戶體驗,增強用戶黏性,商業銀行將持續獲得低成本的存款積累。雖然數字人民幣不構成商業銀行存款來源,但是數字錢包賬戶和銀行存款賬戶之間可直接兌換。如果商業銀行可以做到在未來打造更加豐富和便捷的消費生態,大量閑置資金將轉移至銀行賬戶,從而形成銀行低成本存款沉淀。
動態 | 南天信息:持續關注央行數字貨幣進展并做好相關技術儲備:南天信息(000948.SZ)在回答投資者提問時表示,目前央行的數字貨幣尚未公布數字貨幣的技術路徑、記賬及賬戶體系、支付及清算體系、數字貨幣的信貸業務規范和其他規范性標準,故目前對法定數字貨幣暫時無法進行應用軟件開發,但會在研發傳統系統中予以前瞻性考慮。公司持續關注并做好電子錢包方面相關技術儲備。[2020/1/13]
活期存款穩定性
DCEP更具吸引力,人們選擇將活期存款兌換成數字貨幣
1.商業銀行吸存活期存款壓力增大,低成本的活期存款在負債端的占比將趨于下降。
銀行活期賬戶由于承擔了一定的支付結算功能,規模較大,是商業銀行最重要的低成本存款資金來源之一。根據Wind數據顯示,截至2019年末,我國住戶人民幣活期存款29.5萬億元,非金融企業人民幣活期存款24.3萬億元,合計約占金融機構境內人民幣存款的28%。
然而隨著數字人民幣支付的推廣和應用,部分儲戶選擇將銀行活期賬戶資金轉移至數字錢包,造成商業銀行活期存款規模趨于下降,吸存壓力加大,給商業銀行經營帶來重大挑戰。如果轉出去的存款最終不能再回到商業銀行資產負債表內,將導致商業銀行資產負債表縮表,影響其穩健發展。
2.數字貨幣發行推升商業銀行負債端整體付息成本率。
一是隨著活期存款規模的下降,低成本的活期存款在負債端的占比將趨于下降,由此將推升商業銀行負債端整體付息成本率。
二是伴隨著利率市場化改革的推進,商業銀行或將為了維持活期存款規模、提高活期存款吸引力,提高活期存款利率,進一步增加了商業銀行負債端成本壓力。
三是目前,社會公眾保留一定的活期存款賬戶余額是為了滿足日常支付需要,但數字人民幣由于具有支付功能將對活期存款產生一定程度的替代,因此社會公眾無需保留目前活期存款賬戶的余額,而選擇將多余的活期存款轉化為定期存款、理財等收益率更高的產品,造成商業銀行活期存款余額下降的同時,高成本的定期存款等規模進一步提高,從而推升整體負債端付息成本率。
3.加大商業銀行資產負債管理難度,極端情境下商業銀行更容易面臨儲戶擠兌。
上述商業銀行活期存款與表外的數字人民幣,表內的定期存款、理財產品等的動態變化,造成了商業銀行負債端結構的不穩定,尤其是當金融體系利率水平、社會通脹水平等發生較大變化時,不同賬戶之間的轉化將更加頻繁。
一是將加大商業銀行的流動性管理難度。商業銀行需要盡可能保持負債的穩定性和持續性,保證資產的流動性,實現資金流出、流入的平衡。如果負債端結構穩定性下降,勢必將加大商業銀行的測算和預估難度,從而加大流動性管理的難度。
二是將加大商業銀行的資產負債期限結構管理難度。商業銀行資產負債期限結構要基本匹配,并根據市場利率走勢進行適當調整,實現流動性、安全性和盈利性的統一。如果負債端各產品之間的結構和規模變動加大,勢必將削弱商業銀行對資產負債期限結構的掌控和協調能力,加大資產負債期限結構管理難度。
聲音 | 劉昌用:央行數字貨幣選擇大型互聯網企業和商業銀行的可能性比較大:今日,北京大學經濟學博士劉昌用對金色財經表示:央行數字貨幣既要適應互聯網經濟的發展,為互聯網企業提供金融基礎設施,同時又不想對傳統雙層銀行體系產生大的沖擊,因此,發行央行數字貨幣選擇大型互聯網企業和主要商業銀行的可能性比較大,也是可行的。央行數字貨幣已經研究了好幾年,主要是制度和利益關系的協調,如果決定了具體實行,那么先小規模小范圍試行應該不難,但在官方發布之前信息泄露很有可能影響決策。[2019/8/28]
三是極端情境下商業銀行更容易面臨儲戶擠兌。當發生例如如通貨膨脹、金融危機、戰爭等極端情境時,儲戶傾向于將銀行存款提現。當紙幣是流通中的現金時,儲戶提取現金存在一定的成本和風險,例如時間成本、紙幣儲存成本、現金遺失風險和損壞風險等。而數字貨幣的發行使得存款向數字人民幣的轉換則幾乎無成本,持有風險也大大低于紙幣現金,極大地提高了儲戶取現的便捷性。在發生極端情況時,而數字人民幣兌換無限制的前提下,儲戶集中地將大量銀行存款轉為數字人民幣。在此過程中,銀行存款將大量被表外化,銀行資產負債表嚴重縮表,從而造成銀行業危機和整個社會信用的嚴重收縮。
DCEP不具備足夠吸引力,人們選擇保留計息的活期存款
那么對公眾來說,最大的疑問可能是“為什么要選擇數字貨幣?”“與支付寶、微信支付相比有什么區別?”。
央行數字貨幣相較于第三方支付與活期存款的突出優勢是具有法償性,零成本,雙離線支付功能。
在大多數人眼中,在銀行存款意味著絕對安全,由于銀行在我國的特殊性,銀行的破產倒閉需要經過特殊程序,即“接管”程序。算上最新的包商銀行破產,繼海南發展銀行、河北肅寧尚村農信社之后,新中國成立以來也不過3家破產銀行。
首先人們存放在數字錢包、移動支付工具賬戶的零錢通常是滿足日常生活所需,金額較小,日常轉賬所需手續費并不多,大額轉賬較少通過線上渠道;其次,微信、支付寶等第三方支付平臺設計的余額寶等產品通常提供一定的利息,一定程度上可以彌補手續費支出,而數字貨幣則并不計息。
目前微信、支付寶也早已實現了離線支付功能。但是相較于數字貨幣,移動支付則要求付款方可以離線,但收款方得在線。但是隨著移動互聯網覆蓋范圍的逐漸擴大,雙離線支付功能則略顯雞肋,沒有網絡覆蓋的地區通常也是數字貨幣難以被廣泛使用的貧困偏遠地區,
除此之外,微信和支付寶定期會有大量的優惠活動,比如和店家合作滿減優惠,不定時抽獎,公益活動,便民服務等,這相較于數字貨幣錢包而言對我們老百姓的吸引力還是更大一點,所以目前而言,習慣了微信和支付寶的我們,數字貨幣發行造成的影響不會太大,未來是否有影響取決于央行政策和推廣力度。
貨幣創造
第三方支付使社會流通中現金增速放緩
目前,社會支付工具主要是由第三方支付平臺、銀行活期賬戶、現金及票據構成。其中第三方支付平臺以及銀行活期賬戶的余額都以銀行存款的形式體現。近年來,隨著第三方支付的迅猛發展,在第三方支付產生以后,現金支付占比逐漸下降。根據央行發布的《2019年支付體系運行總體情況》和中國互聯網信息中心發布的《第46次中國互聯網絡發展狀況統計報告》,2019年我國非現金支付規模超過4000萬億元,2020年上半年我國移動支付金額達到196.98萬億元,使用率占手機網民的85.7%。
下圖為M0同比增速減去CPI同比增速之后得到的走勢圖。如果排除2020年因為疫情產生的異常情況,在剔除了通貨膨脹的因素之后,從圖中可以看出,自2011年監管機構開始發放第三方支付牌照以來,M0的增速呈下降趨勢,M0的增速從2011年的同比增長10%左右跌至5%左右的平均水平。可以說第三方支付使社會流通現金的增速有所放緩。

注:流通中貨幣數據來源為中國人民銀行調查統計司,并通過計算得到同比增長率。CPI同比增長率數據來源為東方財富網。M0-CPI數據剔除每年1月、2月的異常數據值。
圖2M0-CPI
數字貨幣與第三方的競爭影響商業銀行的貨幣創造能力
1.從賬面處理角度
而數字人民幣的出現會與第三方支付展開競爭,數字錢包將部分代替第三方支付的功能。數字錢包與第三方支付的一個區別就是,數字錢包里的余額是以流通中的貨幣體現的,即M0。而第三方支付賬戶上的余額最是以銀行存款的形式體現的。在原本使用第三方支付或者銀行賬戶支付時,在交易過程中資金從一個賬戶被劃轉到另一個賬戶中,或者是直接在央行的支付機構備付金賬戶上進行劃轉,資金不流出銀行體系。但是在數字貨幣產生后,公眾如果想使用數字貨幣,只有兩種兌換方式:使用現金兌換或使用存款兌換。
當使用現金兌換數字人民幣時,相當于兩種不同形態的M0進行互相轉換,并不會對流通中的現金造成新的增量。但是當公眾使用自己的存款兌換數字人民幣時,商業銀行資產負債表中負債端的活期存款下降,其在中央銀行的存款準備金也減少,特別是其中超額準備金的部分的減少,所以商業銀行貨幣創造的能力將受到一定影響。
2.從貨幣乘數角度
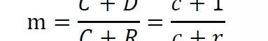
從貨幣乘數的角度來看的話,商業銀行通過發放貸款創造貨幣,其創造的存款與基礎貨幣的比值為貨幣乘數,反映貨幣創造能力的大小,用公式表示為:

其中,m表示貨幣乘數;C表示現金;D表示存款;R表示商業銀行存放在中央銀行的存款準備金;c表示現金漏損率,由C/D得到;r表示存款準備金率,由R/D得到。
為了衡量現金漏損率的影響,將貨幣乘數對現金漏損率c求偏導得:

由于存款準備金率r總不大于1,所以貨幣乘數對現金漏損率的函數關系為減函數。即在r不變的情況下,現金漏損率c越大,貨幣乘數m越小,商業銀行貨幣創造的能力也會越小。
上文中提到,公眾用存款兌換數字人民幣,在數字人民幣實現其支付手段之后進入另一個使用者的數字錢包中。這名使用者可以考慮將數字貨幣留在數字錢包中作為日常使用,這將導致商業銀行的存款永久性下降,流通中的貨幣上升。這位使用者也可以考慮將收到的數字人民幣重新轉換成存款,如下圖所示。但是這一過程已經經歷了2、3、4三個環節,貨幣流出銀行體系的時間增加了,所以從整個社會層面平均來看,在使用數字貨幣之后流通中的貨幣總會適當提高,現金漏損率增加,商業銀行的貨幣創造能力減弱。

圖3使用存款兌換數字人民表貨幣循環過程
總結
數字人民幣作為一種松耦合、雙層運營、中心化的貨幣,具有很好的安全保障,同時還具有不計息的特點。其數字貨幣的特性能夠降低商業銀行原本管理庫存現金的運營成本,還可以幫助商業銀行不斷拓展新的業務場景。不過盡管央行在設計數字人民幣的時候已經盡最大努力將數字人民幣對金融系統帶來的負面影響降到了最低,但數字人民幣還是不可避免地造成了商業銀行負債端活期存款的波動以及貨幣派生能力的下降。并且,數字人民幣作為一種不計息的貨幣,一方面不會給商業銀行帶來額外的成本,但另一方面,數字人民幣也就喪失了與支付寶的余額寶、微信支付的零錢包等有利息的第三方支付方式的競爭力。在線下電子支付完善的東部沿海地區及大城市,數字人民幣將如何獲得人民的青睞,以及在信用卡、支票支付占據高份額的海外市場,數字人民幣又將如何助推人民幣國際化,這些都是數字人民幣的設計還有待考量的地方。
參考文獻:
銀行行業:數字貨幣的邏輯和應用.中信證券研究部,2020.
湯奎.數字人民幣的發行和運營:商業銀行的機遇與挑戰研究.觀察思考,2020(11).
陸岷峰,周軍煜.數字貨幣背景下商業銀行業務未來發展前景、變革與重構.西南金融,2020(09):3-13.
孫文博.淺析央行數字發行對商業銀行個人業務的影響.財會學習,2020(19):143-145.
徐亞男.展望央行推行法定數字貨幣對我國商業銀行的影響.上海商業,2020(05):84-86.
江潔,廖茂林.數字貨幣沖擊與商業銀行的應對策略.銀行家,2019(12):102-104.
邱勛.中國央行發行數字貨幣:路徑、問題及其應對策略.西南金融,2017(03):14-20.
戴金平,黎艷.貨幣會消亡嗎?——兼論數字貨幣的未來.南開學報(哲學社會科學版),2016(04):141-149.
本文為中國人民大學《商業銀行業務與經營》課程課堂習作,作者為易格格、馬舒玥、李紅亮、張孝茹、張馨予。
文章來源:新華財經 作者:陳曉華,系北京郵電大學國家大學科技園金融科技研究所所長、首席區塊鏈經濟專家自去年4月份以來,比特幣瘋狂上漲,連續創歷史新高.
1900/1/1 0:00:00項目周刊|過去7天比特幣實際交易量達670億美元 金色財經meio 剛剛 8金色周刊是金色財經推出的一檔每周區塊鏈行業總結欄目.
1900/1/1 0:00:00中國科學技術大學1月7日宣布,中國科研團隊成功實現了跨越4600公里的星地量子密鑰分發,標志著我國已構建出天地一體化廣域量子通信網雛形,為未來實現覆蓋全球的量子保密通信網絡奠定了科學與技術基礎.
1900/1/1 0:00:00原標題:2021年,投資機構關于XRP的預測XRP曾是僅次于比特幣和以太坊的全球第三大加密貨幣.
1900/1/1 0:00:002021年1月4日,當比特幣價格躍過3.4萬美元之后,《金融時報》表示「cryptocurrenciesarebecomingmoreintegratedintothefinancialsyst.
1900/1/1 0:00:00美國貨幣監理署在周一晚些時候發布的一封解釋性信中說,美國國家銀行和聯邦儲蓄協會可以使用公有區塊鏈和穩定幣進行結算.
1900/1/1 0:00:00