BTC/HKD-0.57%
ETH/HKD-0.26%
LTC/HKD-1.65%
ADA/HKD-1.58%
SOL/HKD-1.06%
XRP/HKD-2.38%原標題:《uniswap-V3技術白皮書導讀》
來源:星想法
作者:StarLi
uniswapV3一公布就引發廣泛關注。相對V2來說,邏輯和代碼都復雜一些。V3的核心是通過盤口區間提供流動性,解決LP提供流動性時的資金利用率的問題。什么是資金利用率?V3如何推導區間流動性的計算公式?如何理解流動性?如何計算swap費用?本文先從V3技術白皮書詳細分析開始。
先給出一些uniswap官方有關V3的資料:
V3官方介紹
https://uniswap.org/blog/uniswap-v3/
技術白皮書
https://uniswap.org/whitepaper-v3.pdf
智能合約代碼
https://github.com/Uniswap/uniswap-v3-core
https://github.com/Uniswap/uniswap-v3-periphery
推薦先認真查看技術白皮書,再看智能合約代碼,最后再對照官方介紹。理解了技術白皮書,代碼非常容易理解。在技術白皮書的第一章總結了uniswapV3的技術特點,最核心的概念是"ConcentratedLiquidity"。
1資金利用率
先看看uniswapV2的資金利用率:

上圖為資金池中的x/y的量變化曲線。資金池中的當前價格在c點,并且假設會在a價格點和b價格點之間波動。從c點向a點滑動,消耗最大y_real,從c點向b點滑動,消耗最大為x_real。也就是說,當前價格c點,在a點和b點之間震蕩的話,最大只需要消耗x_real和y_real。理論上只要提供x_real和y_real就足夠了。而事實上,如上圖所示,在價格c點,分別提供了大于x_real和y_real的x和y。明顯可以看出,x-x_real和y-y_real的資金在這種情況下是永遠用不上的,也就稱為閑置資金。
Chainalysis調查負責人稱“不知道”其監控軟件的科學依據:金色財經報道,據CoinDesk獲取未公開的聽證會記錄顯示,Chainalysis Government Solutions調查負責人Elizabeth Bisbee在法庭作證說,她“不知道”執法部門使用的Chainalysis Reactor 軟件準確性的科學依據。著名律師Tor Ekeland指控稱,Chainalysis的監控工具在整個行業中廣泛用于合規性,并且有時會導致不合理的賬戶限制,Chainalysis Reactor 是“一種黑匣子算法”,“依賴于垃圾科學”。甚至在沒有合理理由的情況下讓毫無戒心的個人進入執法機構的監視范圍。
Bisbee表示,她無法向法院提供Chainalysis Reactor 軟件的統計錯誤率,她進一步否認知道任何科學同行評審論文或證據證明該工具的準確性。[2023/7/25 15:56:29]
在這種情況下,資金利用率為x_real/x或者y_real/y。如果價格波動非常小的話,資金利用率是非常低的。uniswapV3就是嘗試解決資金利用率低的問題。想法比較簡單,所有資金可以只添加到某個區間,只添加到有可能價格波動到的區間范圍。如何在某個區間添加流動性并提供swap功能是uniswapV3的重點。先從VirtualReserves說起。
2虛擬資金池(VirtualReserves)
uniswap的交易采用的乘積固定模型(x*y=k)。所謂的虛擬資金池(VirtualReserves),是指還在乘積固定曲線上,只提供某個區間流動性的資金池:

ApeCoin DAO計劃發起新提案AIP-155投票,擬設立100萬美元Bug賞金:金色財經報道,ApeCoin DAO已發起新提案AIP-155投票,投票將于美國東部時間1月13日晚9點開啟,并于1月18日結束。發起方為BAYC成員及 Snag Solution 創始人 Zheerwagen。
據悉,新提案擬設立100萬美元(或450萬枚APE)Bug賞金計劃,以支持并推動社區范圍內尋找漏洞,提升生態和APE持有者安全。[2023/1/13 11:10:11]
圖中的墨綠色的曲線就是虛擬資金池滿足的乘積固定曲線。事實上需要的資金的曲線如圖中的橘黃色。橘黃色的曲線公式如下圖:

你可以想象成虛擬資金曲線在x/y軸進行平移,使得a/b點和x/y軸重合。也就是用一定量的資金就能達到“虛擬”的交易曲線的效果。
如何計算在某個區間提供虛擬資金池,先要從深入理解流動性開始。
3流動性
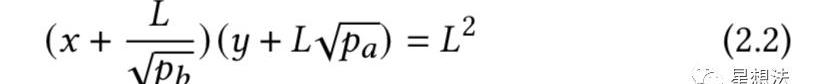
乘積固定的交易模型,滿足資金池中的兩種代幣金額滿足:x*y=K。如果設定K=L^2的話,x*y=L^2。L就是我們說的流動性。由乘積固定的交易模型得出如下的公式:

在已知L和sqrt(P)的情況下,也能推導出資金需求量x和y。

加密礦商比特小鹿將IPO截止日期延長一年:金色財經報道,周三提交的一份文件顯示,加密礦業公司比特小鹿在納斯達克上市的最后期限可能會延長一年。去年,Bitdeer宣布與特殊目的收購公司(SPAC)Blue Safari Group Acquisition Corp 合并。但根據美國證券交易委員會的最新文件,SPAC將召開股東大會,就延長合并完成的截止日期為2023年12月14日。[2022/11/2 12:10:39]
通過公式6.6,在流動性不變的情況下,流動性可以看成是單位“價格波動”的y資金量的變化。”價格波動“打上引號是因為事實上是sqrt(P)的變化。

這個是uniswapV3核心公式,用相對值來計算流動性。所謂的流動性,就是單位“價格變化”的資金量。在一定的交易量的情況下,如果流動性好,價格變化就小,流動性不夠的話,價格波動就大。

特別注意的是,一個區間上的流動性和V2的普適的流動性不同。一個區間上的流動性,重點在“區間上”。不同區間的流動性沒有可比性。V2的流動性和區間上的流動性的區別如下圖:

V2的流動性是“普適”的,在所有價格點上流動性相同。V3的流動性是由一系列不同區間上的流動性組成。相對來說,在當前價格左右的流動性比較高。流動性提供者LP只有提供了可供交易的流動性才能獲取交易費。為了獲取更多的交易費,為了提高資金的利用率,流動性提供者會將資金提供在合理的價格波動范圍內。也就是說,在某個區間swap交易產生的手續費,只有該區間流動性提供者才能獲取手續費。為了計算每個區間獲取的手續費,引入了Tick的概念和計算方法。
韓國游戲巨頭WeMade在迪拜開設分公司以擴展其區塊鏈業務:8月18日消息,韓國游戲巨頭WeMade宣布,該公司已在阿聯酋迪拜設立分公司,以作為其區塊鏈業務擴張的一部分。Wemade CEO Henry Chang表示:“為了公司區塊鏈業務在全球展開,Wemade已在新加坡、中國、日本和美國設立了分支機構。我們計劃加速這個計劃。”(News 1)[2022/8/18 12:33:43]
4Tick
在區間上提供流動性,帶來很多復雜的情況:區間和區間的重疊覆蓋。因為不同區間的流動性沒有可比性,某個交易費并不能混入到流動資金中,等刪除流動性時候一并提取。為了解決這個問題,uniswapV3引入了Tick的概念。交易費用實時結算并單獨記錄,并不混入流動資金中。雖然整個區間和區間的流動性沒有可比性,但是,在具體的某個價格點上,流動性是可比較的。uniswapV3將整個價格范圍(負無窮到正無窮)分成一個個的Tick:

后一個價格點的價格是前一個價格點價格基礎上浮動萬分之一。

每個Tick也有一個唯一的序號。區間可以由兩個Tick表示。邏輯上交易手續費可以一個個的Tick計算,并在每一個Tick上根據流動性的占比進行交易分配。先看看一個Tick范圍的swap的計算。
5Tick內的SWAP
假設有一個很小的量的y,需要swap為x。通過6.13的公式,可以計算出因為y的變化導致的價格變化。
美SEC向Dragonchain提起訴訟:金色財經報道,根據美國西區地方法院提交的一份文件,美國證券交易委員會(SEC)已對區塊鏈初創公司Dragonchain提起訴訟,稱其未能在五年內對超過1600萬美元的初始代幣發行(ICO)進行注冊。投訴稱,首席執行官John Roets和三個Dragonchain相關公司違反了《證券法》,在2017年的ICO中通過出售Dragon(DRGN)代幣籌集了數百萬美元。據SEC稱,該公司隨后將資金投入其營銷和開發活動。
總部位于西雅圖的Dragonchain是一家由Disney于2017年創立的企業區塊鏈初創公司,2018年,在對SEC的監管打擊感到擔憂之后,該公司迫使其附屬項目之一lagon歸還ICO投資者的資金。[2022/8/17 12:29:33]

再利用6.15的公式可以算出換取的x的量。

uniswapV3針對同樣的交易對設置了不同的交易費:0.05%,0.3%以及1%。如果是從Y換取X,則在換取之前先扣除手續費再進行上述的交換。
在同一交易池中只支持一種費率。也就是說,在一個交易池中支持不同的價格區間,但是都是同樣的費率。如果需要添加同樣交易對的不同交易費的交易池,必須創建新的交易池。
接下來,深入講解一下添加/刪除流動性以及交易費用的計算邏輯。
6添加/刪除流動性
V3的添加/刪除流動性是當前價格情況下在某個區間添加或者刪除流動性。所有的流動性添加/刪除流動性采用如下的公式:

注意,價格變化并不是指區間的大小,而是在某個區間上提供流動性,相對當前價格,“需要相應資金變化”對應的價格變化。
分為三種情況,想要添加的流動性區間和當前價格的關系。
當前價格處于流動性價格區間(il<=ic<iu)

因為價格在區間范圍內,如果價格滑動到il,則需要提供y資金。如果價格滑動到iu,則需要提供相應的x資金。所以,對于delta_Y來說的,價格變化為sqrt(P)-sqrt(p(il));對于delta_X來說,價格變化為1/sqrt(P)-1/sqrt(p(iu))。
當前價格低于流動性價格區間

因為當前價格遠低于il,即使從當前價格向iu滑動,也只需要x的資金,不需要y的資金。所以,在這種情況下,delta_Y=0。因為從il滑向iu需要整個區間的x的資金,對于delta_X來說,價格變化為1/sqrt(il)-1/sqrt(p(iu))。
當前價格高于流動性價格區間
和第一種情況類似,不重復分析了。
7Swap交易費用
uniswap最復雜的邏輯是計算交易費用并分配。在添加和刪除流動性之前需要將相應的交易費用提取。
Tick上的總流動性
在某個Tick上可以存在多個區間。在計算交易費用時,需要平攤這些費用給所有在這個Tick上多個區間的總的流動性。在每個區間的邊界的Tick上記錄下delta_L。
存在一個全局狀態:liquidity,保存當前價格對應Tick的流動性總和。當價格波動,穿過某個Tick時,會進行流動性的增加或者減少。舉例來說,價格從左到右穿過區間,當穿過區間的第一個Tick時,流動性需要增加,穿出最后一個Tick時,流動性需要減少,中間的Tick都沒有流動性的增加和減少。

區間上的交易費用率
計算一個區間上的交易費用率,采用總的費用率減去區間外的費用率的方法。在一個區間的邊界Tick上記錄feeGrowthOutside。所謂的feeGrowthOutside,就是“另外”一個方向上總的費用率。另外的一個方向是相對穿過當前Tick的方向而言。當價格從左到右穿過一個Tick,feeGrowthOutside指的是Tick左邊所有區間的費用率。簡單的說,就是價格要去方向的相反方向所有區間的費用率。feeGrowthOutside用fo表示。因為fo是一個Tick的兩個方向的總的費用率,兩個方向的費用率的總和肯定是等于fg。所以當穿過一個Tick時,這個Tick上的fo要進行翻轉:

當一個區間創建時,區間邊界上Tick的fo需要初始化:

如果當前的價格大于Tick的價格時,因為即使當前價格在設置的區間內,但是之前費用也不會分到,所以,可以簡單的假想為所有的費用發生在Tick價格之下,也就是fo=fg。如果Tick的價格大于當前價格,價格還沒有穿過Tick,因為假設了之前所有發生的費用發生在Tick價格之下,Tick之上是沒有費用的,所以fo=0。在理解了這些邏輯的基礎上,在swap的過程中,隨著價格的波動,一個區間上,超過最高Tick的費用率以及低于最低Tick的費用率可以用如下的方式計算:

以低于最低Tick的費用率的計算為例,如果ic>=i,低于Tick的所有的費用率就是fo。如果ic

獲取的費用率的基礎上,用費用率乘以區間的流動性可以計算出該區間收取的費用。
總結:
uniswapV3版本核心思想是流動性集中。流動性提供者可以在某個區間提供流動性,提高資金使用率。在某個區間獲取的交易費,由所有在該區間的流動性提供者均分。uniswapV3設計了區間粒度-Tick,并且推導了流動性添加/刪除以及費用計算的過程。在之基礎上,uniswapV3也更新了價格預言機的實現。
Tags:TICICKSWAPUNINautical CoinUniversal PickleMSWAP價格UNISTAKE
原標題:《DeFi貨幣市場終將吸引機構投資者:奇跡or噩夢?》比特幣從去年開始的牛市甚至讓一些對其持最大懷疑態度的人軟化了立場.
1900/1/1 0:00:00想要知道注冊的交易所靠不靠譜?項目團隊可不可信?也許你缺少一個好用的工具:「區塊天眼」APP。“區塊天眼”是區塊鏈行業首個監管查詢類APP。簡單來說,「區塊天眼」就是幣圈版的天眼查.
1900/1/1 0:00:00最近以太坊網絡經常擁堵,用戶為了盡快達成交易,會上調Gas費希望能優先被礦工打包,尤其是在交易有利可圖的時候.
1900/1/1 0:00:00寫在前面:加密研究機構Messari對一季度加密資產表現進行回顧,整體表現優異,各細分領域龍頭普遍領漲6-11倍,BSC生態的CAKE以30.31倍的漲幅遠超平均水平,在中心化交易平臺中.
1900/1/1 0:00:00不可否認的是,目前兩大盈利程度最高的公共區塊鏈網絡是以太坊和比特幣,且坦率地說,它們之間甚至還差得很遠。以太坊是世界上市值第二高的區塊鏈,也是可編程、Dapps(去中心化應用)領域領先的公鏈.
1900/1/1 0:00:00NFT,感覺最近半年寫了好多關于NFT的相關性文章,但是都不是很深入,都不是很專研,所以打算寫一篇,個人覺得可能或許也許比較專研一點兒的文章.
1900/1/1 0:00:00