BTC/HKD-0.38%
ETH/HKD-2.32%
LTC/HKD-3.06%
ADA/HKD-5.19%
SOL/HKD-3.09%
XRP/HKD-3.15%以太坊創始人VitalikButerin近日針對與Proto-danksharding有關的疑問近了解答。Danksharding為以太坊提出的新分片設計,這種技術究竟能帶來什么?
作者:VitalikButerin
什么是Danksharding?
Danksharding是為以太坊提出的新分片設計,與之前的設計相比,它引入了一些顯著的簡化。
自2020年以來的所有最近的以太坊分片提案與大多數非以太坊分片提案的主要區別在于以太坊以匯總為中心的路線圖:以太坊分片沒有為交易提供更多空間,而是為數據提供,以太坊協議本身不會嘗試解釋。驗證blob只需檢查blob是否可用,即是否可以從網絡下載。這些blob中的數據空間預計將由支持高吞吐量事務的第2層Rollup協議使用。
Danksharding引入的主要創新是合并費用市場:不再有固定數量的分片,每個分片都有不同的區塊和不同的區塊提議者,在Danksharding中,只有一個提議者選擇進入該槽的所有交易和所有數據.
為避免這種設計對驗證者提出高系統要求,我們引入了提議者/構建者分離(PBS):稱為區塊構建者的一類特殊參與者競標選擇slot的權利,提議者只需要選擇出價最高的有效header即可。只有區塊構建者需要處理整個區塊;所有其他驗證者和用戶都可以通過數據可用性采樣非常有效地驗證區塊。
什么是proto-danksharding?
Proto-danksharding是一個以太坊改進提議,用于實現構成完整Danksharding規范的大部分邏輯和“腳手架”,但尚未實際實現任何分片。在proto-danksharding實現中,所有驗證者和用戶仍然必須直接驗證完整數據的可用性。
proto-danksharding引入的主要特征是新的交易類型,我們稱之為一種帶有blob的交易。帶有blob的交易與常規交易類似,不同之處在于它還攜帶稱為blob的額外數據。Blob非常大,并且比類似數量的calldata便宜得多。但是,EVM執行無法訪問blob數據;EVM只能查看對blob的承諾。
因為驗證者和客戶端仍然需要下載完整的blob內容,所以proto-danksharding中的數據帶寬目標為每個插槽1MB,而不是完整的16MB。然而,由于這些數據沒有與現有以太坊交易的gas使用量競爭,因此仍然有很大的可擴展性好處。
為什么向每個人都必須下載的塊添加1MB數據是可以的,而不是讓calldata便宜10倍?
這與平均負載和最壞情況負載之間的差異有關。今天,我們已經遇到了平均塊大小約為90kB的情況,但理論上可能的最大塊大小約為1.8MB。以太坊網絡過去處理的區塊接近最大值。但是,如果我們簡單地將calldatagas成本降低10倍,那么盡管平均區塊大小會增加到仍然可以接受的水平,但最壞的情況會變成18MB,這對于以太坊網絡來說實在是太多了。
當前的gas定價方案無法將這兩個因素分開:平均負載與最壞情況負載之間的比率取決于用戶在calldata與其他資源上花費多少gas的選擇,這意味著gas價格必須是根據最壞情況的可能性設置,導致平均負載不必要地低于系統可以處理的負載。但是,如果我們改變gas定價以更明確地創建一個多維費用市場,我們可以避免平均情況/最壞情況負載不匹配,并在每個區塊中包含接近我們可以安全處理的最大數據量的數據。Proto-danksharding和EIP-4488就是這樣做的兩個提議。
動態 | 谷歌趨勢:“區塊鏈”搜索熱度區域排名中國躍居第一:據Google Trends數據,過去7天的搜索熱度中,尼日利亞成為搜索“bitcoin”熱度最高的地區。在按區域顯示的“bitcoin”搜索熱度排行中,前五名依次是:尼日利亞、荷蘭、捷克、加納、以及南非。全球“blockchain”熱度最高的5個國家/地區為:中國、圣赫勒拿、喀麥隆、科特迪瓦、新加坡。[2019/12/22]

proto-danksharding與EIP-4488相比如何?
EIP-4488是解決相同平均情況/最壞情況負載不匹配問題的較早且更簡單的嘗試。EIP-4488使用兩個簡單的規則來做到這一點:
Calldatagas成本從每字節16gas降低到每字節3gas
每個塊1MB的限制加上每個事務額外的300字節
硬限制是確保平均情況負載的較大增加不會導致最壞情況負載增加的最簡單方法。天然氣成本的降低將大大增加匯總的使用,可能會將平均塊大小增加到數百KB,但硬限制將直接阻止包含10MB的單個塊的最壞情況可能性。事實上,最壞情況下的塊大小會比現在小。
Proto-danksharding而是創建了一種單獨的事務類型,可以在大型固定大小的blob中保存更便宜的數據,并限制每個塊可以包含多少blob。這些blob無法從EVM訪問,并且blob由共識層而不是執行層存儲。
EIP-4488和proto-danksharding之間的主要實際區別在于EIP-4488試圖最小化今天所需的更改,而proto-danksharding今天進行了大量更改,因此將來升級到完全分片需要很少的更改。盡管實現全分片是一項復雜的任務,并且在proto-danksharding之后仍然是一項復雜的任務,但這種復雜性包含在共識層中。一旦proto-danksharding推出,執行層客戶端團隊、rollup開發人員和用戶不需要做進一步的工作來完成向全分片的過渡。
請注意,兩者之間的選擇不是非此即彼的:我們可以盡快實施EIP-4488,然后在半年后使用proto-danksharding跟進它。
proto-danksharding實現了完整danksharding的哪些部分,還有哪些需要實現?
引用EIP-4844:
此EIP中已經完成的工作包括:
一種新的交易類型,其格式與“全分片”中需要存在的完全相同。
全分片所需的所有執行層邏輯。
全分片所需的所有執行/共識交叉驗證邏輯。
BeaconBlock驗證和數據可用性采樣blob之間的層分離。
完全分片所需的大部分BeaconBlock邏輯。
blob的自調整獨立gasprice。
實現完全分片尚需完成的工作包括:
共識層中blob_kzgs的低度擴展以允許2D采樣。
數據可用性采樣的實際實現,
?PBS,以避免要求單個驗證者在一個插槽中處理32MB的數據。
每個驗證者的托管證明或類似的協議內要求,以驗證每個區塊中分片數據的特定部分。
動態 | “區塊鏈”近30日搜索熱度整體同比上漲45%:今日百度搜索熱度中,“區塊鏈”的搜索熱度近7日整體日均值為11629,整體同比上漲45%,環比上漲3%。“比特幣”的搜索熱度近30日整體日均值為19985,整體同比下跌39%,環比下跌37%。[2019/12/12]
請注意,所有剩余工作都是共識層更改,不需要執行客戶端團隊、用戶或Rollup開發人員的任何額外工作。
所有這些非常大的區塊都會增加磁盤空間需求怎么辦?
EIP-4488和proto-danksharding都導致每個插槽的長期最大使用量約為1MB。這相當于每年大約2.5TB,遠高于以太坊今天所需的增長率。
在EIP-4488的情況下,解決此問題需要歷史記錄到期方案(EIP-4444?),其中不再需要客戶端存儲超過某個時間段的歷史記錄。
在proto-danksharding的情況下,無論是否實施EIP-4444,共識層都可以實施單獨的邏輯以在一段時間后自動刪除blob數據。但是,無論采用何種短期數據擴展解決方案,都強烈建議盡快實施EIP-4444。
這兩種策略都將共識客戶端的額外磁盤負載限制在最多幾百GB。從長遠來看,采用一些歷史過期機制本質上是強制性的:完整分片每年會增加大約40TB的歷史blob數據,因此用戶實際上只能將其中的一小部分存儲一段時間。因此,值得盡早設定對此的期望。
如果數據在30天后被刪除,用戶將如何訪問舊Blob?
以太坊共識協議的目的不是保證所有歷史數據的永久存儲。相反,目的是提供一個高度安全的實時公告板,并為其他去中心化協議留出空間進行更長期的存儲。公告板的存在是為了確保在公告板上發布的數據可用時間足夠長,以便任何想要該數據的用戶或任何備份數據的長期協議都有足夠的時間來獲取數據并將其導入到他們的其他應用程序或協議中。
一般來說,長期歷史存儲很容易。雖然每年2.5TB對常規節點的要求太大,但對于專用用戶來說非常易于管理:您可以以每TB約20美元的價格購買非常大的硬盤驅動器,這完全可以滿足業余愛好者的需求。與具有N/2-of-N信任模型的共識不同,歷史存儲具有1-of-N信任模型:您只需要其中一個數據存儲者是誠實的。因此,每條歷史數據只需要存儲數百次,而不是完整的數千個正在做實時共識驗證的節點。
存儲完整歷史記錄并使其易于訪問的一些實用方法包括:
特定于應用程序的協議可能要求其節點存儲與其應用程序相關的歷史記錄部分。丟失的歷史數據對協議沒有風險,只會對單個應用程序造成風險,因此應用程序承擔存儲與自己相關的數據的負擔是有意義的。
在BitTorrent中存儲歷史數據,例如。每天自動生成和分發一個7GB的文件,其中包含來自區塊的blob數據。
以太坊門戶網絡可以很容易地擴展到存儲歷史。
區塊瀏覽器、API提供商和其他數據服務可能會存儲完整的歷史記錄。
個人愛好者和從事數據分析的學者可能會存儲完整的歷史記錄。在后一種情況下,將歷史存儲在本地為它們提供了重要的價值,因為它使直接對其進行計算變得更加容易。
TheGraph等第三方索引協議可能會存儲完整的歷史記錄。
在更高級別的歷史存儲下,一些數據被遺忘的風險會變得更高。這可能是分片區塊鏈可擴展性的真正極限。然而,目前所有提出的參數都距離這一點非常遠。
動態 | 區塊鏈搜狗搜索熱度移動同比上漲1000%:搜狗搜索指數“區塊鏈”的搜索熱度近30日整體搜索指數為73217,整體同比上漲605.5%,整體環比下降18%;移動搜索指數為38567,移動同比上增1000%,移動同比下跌0.5%。[2018/10/8]
blob數據的格式是什么,它是如何提交的?
一個blob是一個包含4096個字段元素的向量,范圍內的數字:
0<=x<52435875175126190479447740508185965837690552500527637822603658699938581184513
blob在數學上被視為表示具有上述模數的有限域上的次數<4096多項式,其中blob中位置i處的場元素是對該多項式在wi處的評估。w是滿足w=1的常數。
對blob的承諾是KZG承諾對該多項式的一個哈希。然而,從實現的角度來看,關注多項式的數學細節并不重要。相反,只會有一個橢圓曲線點的向量,而KZG對blob的承諾將只是一個線性組合。引用EIP-4844的代碼:

BLS_MODULUS是上述模數,而KZG_SETUP_LAGRANGE是橢圓曲線點的向量,它是基于拉格朗日的可信設置。對于實現者來說,現在將其簡單地視為一個黑盒專用哈希函數是合理的。
為什么使用KZG的哈希而不是直接使用KZG?
EIP-4844沒有使用KZG直接表示blob,而是使用版本化哈希:單個0x01字節后跟KZG的SHA256哈希的最后31個字節。
這樣做是為了EVM兼容性和未來兼容性:KZG承諾是48字節,而EVM更自然地使用32字節值,如果我們從KZG切換到其他東西,KZG承諾可以繼續為32字節。
proto-danksharding中引入的兩個預編譯是什么?
Proto-danksharding引入了兩種預編譯:blob驗證預編譯和點評估預編譯。
Blob驗證預編譯是不言自明的:它將版本化哈希和Blob作為輸入,并驗證提供的版本化散列實際上是Blob的有效版本化哈希。此預編譯旨在供OptimisticRollup使用。引用EIP-4844:
OptimisticRollup只需要在提交欺詐證明時實際提供基礎數據。欺詐證明提交功能將要求欺詐blob的全部內容作為calldata的一部分提交。它將使用blob驗證功能根據之前提交的版本化哈希驗證數據,然后像今天一樣對該數據執行欺詐證明驗證。
點評估預編譯將版本化哈希、x坐標、y坐標和證明作為輸入。它驗證證明以檢查P(x)=y,其中P是由具有給定版本化哈希的blob表示的多項式。此預編譯旨在供ZKRollup使用。引用EIP-4844:
ZKrollup將為其交易或狀態增量數據提供兩個承諾:blob中的KZG和使用ZKrollup內部使用的任何證明系統的一些承諾。他們將使用等價協議的承諾證明,使用點評估預編譯,來證明kzg和ZKrollup自己的承諾引用相同的數據。
請注意,大多數主要的OptimisticRollup設計都使用多輪防欺詐方案,其中最后一輪只需要少量數據。因此,可以想象,OptimisticRollup也可以使用點評估預編譯而不是blob驗證預編譯,而且這樣做會更便宜。
分析 | BTC人氣熱度再度趨冷 市場整體小幅反彈:據TokenInsight 數據顯示,反映區塊鏈行業整體表現的TI指數北京時間8月10日9時報662.99點,較昨日同期上漲26.00點,漲幅4.08%。通用平臺指數TIG報595.91點,較昨日同期上漲17.13點,漲幅2.96%。另據監測顯示,BTC人氣熱度增速隨價格下跌而低迷,維持在0.04%(上周同期0.097%),全球轉賬數21.2萬。BCtrend分析師認為,每當BTC價格達到階段頂部或底部時人氣都會趨冷,此輪下跌勢能已基本釋放。技術分析方面,獨立分析師Tommy認為,BTC昨日小幅反彈,整體的下跌趨勢并沒有反轉,預計震蕩過后可能再次探底,請投資者注意風險。[2018/8/10]
KZG可信設置是什么樣的?
看:
https://vitalik.ca/general/2022/03/14/trustedsetup.html對powers-of-tau可信設置如何工作的一般描述
https://github.com/ethereum/research/blob/master/trusted_setup/trusted_setup.py所有重要的可信設置相關計算的示例實現
特別是在我們的例子中,當前的計劃是并行運行四個大小,,和的儀式。理論上,只需要第一個,但是運行更多的更大的尺寸,通過允許我們增加blob來提高未來的適用性尺寸。我們不能只是有一個更大的設置,因為我們希望能夠對可以有效提交的多項式次數有一個硬限制,這個限制等于blob大小。
可能的實用方法是從Filecoin設置開始,然后運行一個儀式來擴展它。包括瀏覽器實現在內的多種實現將允許許多人參與。
我們不能在沒有可信設置的情況下使用其他一些承諾方案嗎?
不幸的是,使用KZG以外的任何東西會使分片路線圖變得更加困難。這有幾個原因:
非算術承諾與數據可用性采樣不兼容,因此如果我們使用這樣的方案,當我們轉向完整分片時,無論如何我們都必須更改為KZG。
IPA可能與數據可用性采樣兼容,但它會導致更復雜的方案具有更弱的屬性
哈希和IPA都不兼容點評估預編譯的廉價實現。因此,基于哈希或IPA的實現將無法有效地使ZKRollup或支持多輪OptimisticRollup中的廉價欺詐證明。
因此,不幸的是,使用除KZG之外的任何東西的功能損失和復雜性增加遠大于KZG本身的風險。此外,任何與KZG相關的風險都包含在內:一個KZG故障只會影響Rollup和其他依賴于blob數據的應用程序,而不會影響系統的其余部分。
KZG有多“復雜”和“新”?
KZG承諾是在2010年的一篇論文?中介紹的,并且自2019年以來已廣泛用于PLONK類型的ZK-SNARK協議中。然而,KZG承諾的基礎數學是橢圓曲線運算和配對的基礎數學之上的一個相對簡單的算術。
使用的特定曲線是BLS12-381?,它是由Barreto-Lynn-Scott在2002年發明的。橢圓曲線配對是驗證KZG承諾所必需的,是非常復雜的數學,但它們是在1940年代發明并自1990年代以來應用于密碼學。到2001年,提出了許多使用配對的加密算法。
從實現復雜性的角度來看,KZG并不比IPA更難實現:計算承諾的函數與IPA的情況完全相同,只是使用了一組不同的橢圓曲線點常數。點驗證預編譯更復雜,因為它涉及配對評估,但數學與EIP-2537實現中已經完成的部分相同,并且非常類似于bn128配對預編譯。因此,實現KZG驗證不需要復雜的“新工作”
行情 | 熱度前三幣種訪問量均上升:根據TokenClub數據顯示,目前BTC在幣熱度榜上排名第一,24小時內訪問量為29607,相比之前訪問量上升2979;排名第二為ETH ,24小時內訪問量為17430,相比之前訪問量上升2040;EOS排名第三,24小時內訪問量為15253,相對之前訪問量上升762。總體而言,熱度靠前幣種訪問量均上升。[2018/8/3]
proto-danksharding實現的不同軟件部分是什么?
有四個主要組成部分:
1.執行層共識發生更改:
包含blob的新交易類型
輸出當前交易中第i個blob版本化哈希的操作碼
Blob驗證預編譯
點評估預編譯
2.共識層共識更改:
BeaconBlockBody中的blobKZG列表
“sidecar”機制,其中完整的blob內容與來自BeaconBlock的單獨對象一起傳遞
執行層中的blob版本化哈希與共識層中的blobKZG之間的交叉檢查
3.內存池
BlobTransactionNetworkWrapper
更強大的反DoS保護以補償大的blob大小
4.區塊構建邏輯
接受來自內存池的交易封裝器,將交易放入ExecutionPayload,將KZG放入信標區塊和sidecar中的主體
應對二次元手續費市場
請注意,對于最小的實現,我們根本不需要內存池,我們只需要一個客戶端來實現區塊構建邏輯。只有執行層和共識層的共識變更需要進行廣泛的共識測試,相對輕量級。在這樣的最小實現和所有客戶端都支持區塊生產和內存池的“完整”部署之間的任何事情都是可能的。
proto-danksharding多維費用市場是什么樣的?
Proto-danksharding引入了一個多維的EIP-1559費用市場,其中有兩種資源,gas和blob,具有單獨的浮動gas價格和單獨的限制。
也就是說,有兩個變量和四個常量:

blob費用以gas收取,但它是可變數量的gas,它會進行調整,以便從長遠來看,每個區塊的平均blob數量實際上等于目標數量。
二維性質意味著區塊構建者將面臨一個更難的問題:與其簡單地接受具有最高優先級費用的交易,直到它們用完交易或達到區塊gas限制,他們將不得不同時避免達到兩個不同的限制。
這是一個例子。假設gas限制為70,blob限制為40。mempool有很多交易,足以填滿區塊,有兩種類型:
優先費5pergas,4blobs,4totalgas
優先費3pergas,1blob,2totalgas
遵循幼稚的“降低優先費用”算法的礦工將用第一種類型的10筆交易填充整個區塊,并獲得5*40=200gas的收入。因為這10筆交易填滿了blob完全限制,他們將無法包含更多交易。但最優策略是采取第一種類型的3筆交易和第二種類型的28筆交易。這為您提供了一個包含40?blob和68gas的塊,以及5*12+3*56=228的收入。

執行客戶端現在是否必須實施復雜的多維背包問題算法來優化他們的區塊生產?不,有幾個原因:
EIP-1559確保大多數區塊不會達到任何一個限制,因此實際上只有少數區塊面臨多維優化問題。在內存池沒有足夠交易達到任一限制的通常情況下,任何礦工都可以通過包含他們看到的每筆交易來獲得最佳收入。
在實踐中,相當簡單的啟發式方法可以接近最優。在類似的情況下,請參閱Ansgar的EIP-4488分析?以獲取有關此的一些數據。
多維定價甚至不是專業化帶來的最大收入來源——MEV是。通過專用算法從鏈上DEX套利、清算、搶先NFT銷售等中提取的專用MEV收入占“可提取收入”總額的很大一部分:專用MEV收入似乎平均約為0.025ETH每個區塊,總優先權費用通常在每個區塊0.1ETH左右。
提議者/建造者分離?是圍繞高度專業化的區塊生產而設計的。PBS將區塊構建過程轉變為拍賣,專業參與者可以競標創建區塊的特權。常規驗證者只需要接受最高出價。這是為了防止MEV驅動的規模經濟蔓延到驗證者中心化,但它處理了所有可能使優化區塊構建變得更加困難的問題。
由于這些原因,更復雜的費用市場動態不會大大增加中心化或風險;事實上,更廣泛應用的原則?實際上可以降低DoS攻擊的風險!
指數型EIP-1559blob費用調整機制如何運作?
今天的EIP-1559調整基礎費用b以達到特定的目標gas使用水平t,如下所示:

其中b(n)是當前區塊的基本費用,b(n+1)是下一個區塊的基本費用,t是目標,u是使用的gas。
這種機制的一個大問題是它實際上并不針對t。假設我們得到兩個區塊,第一個u=0,下一個u=2t。我們得到:

盡管平均使用量等于t,但基本費用下降了63/64。所以basefee只有在使用率略高于t時才會穩定;在實踐中顯然高出約3%,盡管確切的數字取決于方差。
一個更好的公式是指數調整:

exp(x)是指數函數e^x,其中e≈2.71828。在x值較小時,exp(x)≈1+x。但是,它具有與交易置換無關的便利特性:多步調整

僅取決于總和u1+...+u/n,而不取決于分布。要了解原因,我們可以進行數學運算:

因此,包含的相同交易將導致相同的最終基礎費用,無論它們如何在不同區塊之間分配。
上面的最后一個公式也有一個自然的數學解釋:術語(u1+u2+...+u/n-nt)可以看作是多余的:實際使用的總gas與打算使用的總gas之間的差異。
當前基本費等于

的事實清楚地表明,超出部分不能超出一個非常窄的范圍:如果超過8t?60,那么basefee變為e^60,高得離譜,沒有人可以支付它,如果它低于0,則資源基本上是免費的,并且鏈將被垃圾郵件發送,直到超出部分回到零以上。
調整機制完全按照這些術語工作:它跟蹤實際總計(u1+u2+...+u/n)并計算目標總計(nt),并將價格計算為差異的指數。為了使計算更簡單,我們不使用e^x,而是使用2^x;事實上,我們使用了2^x的近似值:EIP中的fake_exponential函數。假指數幾乎總是在實際值的0.3%以內。
為了防止長時間的未充分使用導致長時間的2倍完整區塊,我們添加了一個額外的功能:我們不會讓多余的區塊低于零。如果actual_total低于targeted_total,我們只需將actual_total設置為等于targeted_total。在極端情況下,這確實破壞了交易順序的不變性,但增加的安全性使得這是一個可接受的折衷方案。還要注意這個多維市場的一個有趣的結果:當最初引入proto-danksharding時,最初可能只有很少的用戶,因此在一段時間內,一個blob的成本幾乎肯定會非常便宜,即使是“常規的”以太坊區塊鏈活動仍然很昂貴。
作者認為這種費用調整機制比目前的方法更好,因此最終EIP-1559費用市場的所有部分都應該轉向使用它。
有關更長更詳細的解釋,請參閱Dankrad的帖子?。
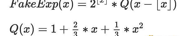
fake_exponential是如何工作的?
為方便起見,這里是fake_exponential的代碼:

這里是用數學重新表達的核心機制,去掉了四舍五入:

目標是將(QX)的許多實例拼接在一起,其中一個為每個范圍適當地移動和放大。Q(x)本身是0≤x≤1的2^x的近似值,選擇用于以下屬性:
簡單性
左邊緣的正確性(Q(0)=2^0=1)
右邊緣的正確性(Q(1)=2^1=2)
平滑斜率
最后三個要求給出三個未知系數的三個線性方程,上面給出的Q(x)給出了唯一的解。
近似值出奇地好;對于除最小輸入之外的所有輸入,fake_exponential給出的答案在2^x實際值的0.3%范圍內:

proto-danksharding中有哪些問題仍在爭論中?
注意:此部分很容易過時。不要相信它會就任何特定問題給出最新的想法。
所有主要的OptimisticRollup都使用多輪證明,因此它們可以使用點評估預編譯而不是blob驗證預編譯。任何真正需要blob驗證的人都可以自己實現它:將blobD和版本化哈希h作為輸入,選擇x=hash(D,h),使用重心評估?計算y=D(x)并使用點評估預編譯驗證h(x)=y。因此,我們真的需要blob驗證預編譯,還是可以直接刪除它并只使用點評估?
該鏈在處理持久的長期1MB+塊方面的能力如何?如果風險太大,是否應該在一開始就減少目標blob數?
blob應該以gas還是ETH計價?是否應該對費用市場進行其他調整?
應該將新的交易類型視為blob還是SSZ對象,在后一種情況下將ExecutionPayload更改為聯合類型?
可信設置實現的確切細節。
2021年是NFT賊火爆的一年。到底有多火呢?國外某語料庫統計顯示“Non-fungibleToken”一詞在2021年的使用率增長了110000%,超過元宇宙、疫苗等其他詞匯.
1900/1/1 0:00:00隨著運營風險的降低和利潤率的擴大,能源公司正在成為加密貨幣領域的一支主要力量。BeowulfMiningPlc的加密貨幣子公司TeraWulf的監管文件顯示,預計到2025年,其采礦能力將達到8.
1900/1/1 0:00:00歐盟立法部門之一的歐洲議會已經采取行動,擬禁止比特幣和其他工作量證明加密貨幣。備受矚目的一攬子加密貨幣法規,加密資產市場框架的最終草案,包括一項禁止“環境不可持續”的共識機制的規定.
1900/1/1 0:00:00最近,QQ上線了一個叫做“超級QQ秀”的新功能。你可以把它理解成是QQ秀的升級版。打開手機QQ,點擊右上方加號旁邊的按鈕就可以進入超級QQ秀界面,用戶可以設置自己的虛擬形象,包括服裝、發型和配飾.
1900/1/1 0:00:00數據到底有多重要? 生產方式變革與組織形態遷徙人類社會發展至今,生產力幾經變革。生產力變革帶來生產方式的變化,進而又會影響到生產的組織形態,因為生產組織畢竟是為了適應生產活動而產生的.
1900/1/1 0:00:00Flow的架構 要了解Flow鏈,最重要的一點在于理解它是為滿足主流消費者需求設計的-快速、低成本-不犧牲安全性-就長期而言,也不犧牲去中心化.
1900/1/1 0:00:00