BTC/HKD-3.14%
ETH/HKD-3.73%
LTC/HKD-2.65%
ADA/HKD-4.63%
SOL/HKD-4.78%
XRP/HKD-2.81%2022年4月17日,成都鏈安鏈必應-區塊鏈安全態勢感知平臺輿情監測顯示,算法穩定幣項目BeanstalkFarms遭黑客攻擊,黑客獲利近8000萬美元,成都鏈安技術團隊第一時間對事件進行了分析,結果如下。
1事件相關信息
攻擊交易
0xcd314668aaa9bbfebaf1a0bd2b6553d01dd58899c508d4729fa7311dc5d33ad7
攻擊者地址
0x1c5dcdd006ea78a7e4783f9e6021c32935a10fb4
攻擊合約
0x79224bC0bf70EC34F0ef56ed8251619499a59dEf
被攻擊合約
Beosin:Arcadia Finance項目遭受攻擊,黑客獲利約45萬美元:金色財經報道,7月10日,Beosin EagleEye監測顯示,鏈上保證金協議Arcadia Finance項目遭受黑客攻擊,黑客獲利約45萬美元。[2023/7/10 10:45:30]
0xc1e088fc1323b20bcbee9bd1b9fc9546db5624c5
2攻擊流程
1.攻擊者從攻擊的前一天發起了提案交易,提案通過會提取Beanstalk:BeanstalkProtocol合約中的資金。

2.黑客通過閃電貸換取了350,000,000個DAI,500,000,000個USDC,150,000,000個USDT,32,100,950個BEAN和11,643,065個LUSD作為資金儲備。
安全團隊:WEEB遭受閃電貸攻擊,黑客獲利約16ETH:金色財經報道,據區塊鏈安全審計公司Beosin旗下Beosin EagleEye安全風險監控、預警與阻斷平臺監測顯示,WEEB項目遭受價格操控攻擊(0xcb58fb952914896b35d909136b9f719b71fc8bc60b59853459fc2476d4369c3a),黑客利用WEEB代幣中的performUpkeep函數,將pair中大量WEEB代幣的余額燒毀,從而提高WEEB價格,獲利16ETH。目前資金仍在黑客地址中(0xe9ba23db4cab47621d72b7a51ef166992a025b16),Beosin Trace將持續對資金流向進行監控。[2023/5/10 14:53:59]

安全公司:MultiChainCapital遭受閃電貸攻擊,黑客獲利約10ETH:金色財經報道,據區塊鏈安全審計公司Beosin旗下Beosin EagleEye安全風險監控、預警與阻斷平臺監測顯示,MultiChainCapital項目遭受閃電貸攻擊(攻擊交易:0xf72f1d10fc6923f87279ce6c0aef46e372c6652a696f280b0465a301a92f2e26),黑客利用通縮代幣未將pair排除例外地址,使用deliver函數造成代幣增發,最后通過swap函數將增發的代幣兌換獲利10ETH,目前資金存在黑客地址未轉出。Beosin Trace將持續對資金流向進行監控。[2023/5/9 14:52:28]
3.黑客將2步驟的DAI,USDC,USDT資金在Curve.fiDAI/USDC/USDT交易池中添加為979,691,328個3Crv流動性代幣,用15,000,000個3Crv換來15,251,318個LUSD。
Earning.Farm遭受閃電貸攻擊,黑客獲利268 ETH:10月15日消息,據Supremacy安全團隊監測,Earning.Farm的EFLeverVault合約遭到兩次閃電貸攻擊,第一筆攻擊被MEV bot截獲,造成合約損失480 ETH;第二筆黑客完成攻擊,黑客獲利268 ETH。
經過分析,漏洞是由合約的閃電貸回調函數未驗證閃電貸發起者產生,攻擊者可自行觸發合約的閃電貸回調邏輯:償還合約內的Aave stETH債務并提現,然后將stETH兌換為ETH。隨后攻擊者可調用withdraw函數提現所有合約內的ETH余額。[2022/10/15 14:28:46]


4.將964,691,328個3Crv代幣兌換為795,425,740個BEAN3CRV-f用于投票,將32,100,950個BEAN和26,894,383LUSD添加流動性得到58,924,887個BEANLUSD-f流動性代幣。


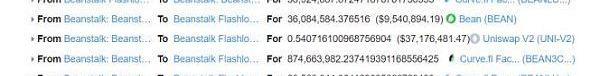
5.使用4步驟中的BEAN3CRV-f和BEANLUSD-f來對提案進行投票,導致提案通過。從而Beanstalk:BeanstalkProtocol合約向攻擊合約轉入了36,084,584個BEAN,0.54個UNI-V2,874,663,982個BEAN3CRV-f以及60,562,844個BEANLUSD-f。

6.最后攻擊者將流動性移除并歸還閃電貸,把多余的代幣兌換為24830個ETH轉入攻擊者賬戶中。


3漏洞分析
本次攻擊主要利用了投票合約中的票數是根據賬戶中的代幣持有量得到的。

攻擊者至少在一天前發起提取Beanstalk:BeanstalkProtocol資金的提案,然后調用emergencyCommit進行緊急提交來執行提案,這個就是攻擊者1天之前發起攻擊準備的原因所在。

4資金追蹤
截止發文時,攻擊者獲利22029601個USDC,14742429個DAI,6,603,829個USDT與0.5407個UNI-V2,640224美元的BAEN代幣資金近8000萬,在攻擊時將其中的25萬USDC捐贈了烏克蘭,之后攻擊者將資金轉換為ETH并將資金持續向Tornado.Cash轉移。
針對本次事件,成都鏈安技術團隊建議:
1.投票所用資金應在合約中鎖定一定時間,避免使用賬戶的當前資金余額來統計投票數量,以避免可能出現的反復投票以及使用閃電貸進行投票;
2.項目方和社區應關注所有提案,如果提案是惡意提案,建議在提案投票期間應及時做出處理措施,將提案廢棄,禁止其接受投票以及執行;
3.可考慮禁止合約地址參與投票;此外項目上線前最好進行全面的安全審計,規避安全風險。
4月9日消息,隨著加密貨幣在全球的興起并且越來越多地被采用,納米比亞央行最近發布其金融科技監管框架,并宣布有意推出其中央銀行數字貨幣。納米比亞銀行表示,“我們不能忽視CBDC,這是一個現實.
1900/1/1 0:00:00馬斯克又“不務正業”了。美東時間2022年4月4日,美國證券交易委員會披露的信息顯示,埃隆·馬斯克已持有推特9.1%的股份,成為后者的第一大股東.
1900/1/1 0:00:00僅僅是「NFT+虛擬世界」并不能稱得上是一個成功的開放式元宇宙。原文標題:Howtomakeanopenmetaverse撰文:WilliamM.Peaster,Bankless分析師 編譯:S.
1900/1/1 0:00:00“There''svalueintheoriginal。” “原創是有價值的。” 最近很多人都在說cc0,而且一直說“cc0的時代即將到來.
1900/1/1 0:00:002021年,NFT、金融市場與藝術家圈子出現了一場史無前例的聯合運動,也將NFT相關資產總市值推向了百億美金的巔峰.
1900/1/1 0:00:00根據國際唱片業協會(IFPI)的《全球音樂報告》(GlobalmusicReport),音樂行業的收入在2021年達到創紀錄的259億美元,比2020年增長18.5%.
1900/1/1 0:00:00