BTC/HKD-1.79%
ETH/HKD-6.85%
LTC/HKD-6.92%
ADA/HKD-8.63%
SOL/HKD-6.62%
XRP/HKD-6.68%作者:DeFi研究員VincentLu
Pechtl的模型
1995年,Pechtl提出離散時間轉換認購期權,如果在Δt內,資產價格超過了行權價X,則投資者可以在期權到期的時候獲得這段時間的收益為AΔt,同理,在離散時間認沽期權中,在某個Δt內,資產價格低于了行權價X,則投資者可以在期權到期的時候獲得這段時間的收益為也為AΔt。
Pechtl根據理論和BS模型,他計算出這種認購期權的定價可以用如下算式來表達:

研究報告:Coinbase上線代幣的表現優于其他交易所:加密分析提供商Messari編寫了一份報告,得出的結論是,傳說中的“Coinbase效應”是真實的。人們普遍認為,Coinbase上新發行的代幣往往比其他交易所推出的代幣表現更好。雖然研究發現,在Coinbase上線的代幣平均回報率最高,達到91%,但這種效應并不一致。28個代幣在5天后表現從32%到645%不等。相比之下,其他交易所的新代幣從大約25%的損失到60%的收益,其次的交易所的總體平均收益約為20%。
然而,研究人員注意到,一些代幣在Coinbase上線后不久,外部因素推動了它們的極端回報。在“控制異常值”的情況下,Messari仍然發現Coinbase的新上線代幣表現優于其他交易所,回報率在0%至66%之間變化,平均總體回報率為29%。(Cointelegraph)[2021/4/2 19:40:16]
認沽期權的定價可以用如下算式來表達:
動態 | 劍橋大學發布全球企業區塊鏈基準研究報告:據未央網消息,近日,劍橋大學替代金融中心(CCAF)發布了《第二期全球企業區塊鏈基準研究報告》(2nd Global Enterprise Blockchain Benchmarking Study)。本次報告針對2017首次區塊鏈報告發布后“企業區塊鏈生態的發展演進”進行了詳細研究。2018年7月至11月,和2019年4月至6月之間,CCAF先后從160多個實體和67個實踐網絡,以及67個實踐企業區塊鏈網絡中收集了研究所需的數據。報告指出,企業區塊鏈如今在私營領域得到了越來越多的實際應用,但是區塊鏈技術“也不是萬能藥”。此外,大部分的實踐項目大部分都是是通過許可區塊鏈網絡進行的。[2019/9/20]

動態 | 研究報告:加密挖礦黑客從截獲元數據獲得額外收入:據Coindesk消息,隨著加密貨幣價格走低,幽靈加密挖礦黑客正轉向截獲元數據。網絡安全公司Carbon Black最新發布的一份報告表示,2018年著名的Monero加密挖礦僵尸網絡包含一個二級組件,可以獲取IP地址、域名信息、用戶名和密碼。Carbon Black研究人員格雷格·福斯(Greg Foss)和瑪麗安·梁(Marian Liang)稱,2018年的僵尸網絡行動被稱為“Access Mining”,在過去兩年中,他們一直在收集秘密數據,在這個過程中收獲了數百萬美元。黑客把安全數據變成了第二收入來源。一臺感染病的機器在黑暗網絡市場的平均售價為6.75美元。受感染的機器甚至可以出租24到48小時,作為黑客的被動收入來源。根據機器的位置和所有者的不同,機器的值可能會飆升。這兩名研究人員表示,Access Mining很可能是繼2018年熊市之后降低Monero(XMR)價格的結果。[2019/8/8]
其中S為現價,X為行權價,波動率為σ
動態 | 研究報告:比特幣作為一種資產變得成熟促使其價格飆升:據彭博社報道,最新數據顯示,比特幣(BTC)的增長可以用其作為一種資產變得成熟來解釋,這種成熟是基于圍繞比特幣的討論。彭博援引了網絡智能平臺Indexica的一份報告,該報告開發了一個基于文本文檔自然語言處理的指數,試圖解釋比特幣最近的飆升。這項研究揭示了推動比特幣增長的三大因素,包括圍繞比特幣的對話、對欺詐的擔憂減少,以及人們對比特幣的看法從過去轉向未來的轉變。研究報告稱,越來越多的金融專家和學者正在對比特幣進行研究,傳統機構也在更加認真地對待它。[2019/5/16]
在這兩個算式中,n=T/Δt,如果期權合約已經生效了一段時間,則需要在期權定價公式中增加一項:ΔtA·exp(-rT)·m,其中m是已經滿足時間轉換條件的時間單位數量
基于Pechtl模型的改動
我們對Pechtl的理論做一點小改動,如果某投資者能在認購期權價格超過行權價格的時候就獲得收益,并且收益的計算方式為*Δt,例如,Alice從Bob那里買了一個行權價格為110美元的認購期權,到期時間是1年。在這年里,價格在11月份突破了行權價,到達了120~130美元,而到了十二月份,價格下跌,跌破了90美元,雖然到期時間來臨時,期權價格仍然低于110美元,但是Alice仍然可以在11月獲得期權高于行權價的那部分收入。
考慮到在Pechtl模型中,收益為到期日后才獲得,所以在估算價格中,會有折現因子exp(-rT),其中r為無風險利率。那如果當時就行權,在第i個周期內,獲得概率的可能性應為:

我們的認購期權模型中,另一個改動是超過行權價,投資者獲得的收益為??Δt,而不是像Pechtl模型中的固定常數A,在這種情況下,我們必須修訂Pechtl的公式,應該用每個??并累加。在數學上就是積分的形式:
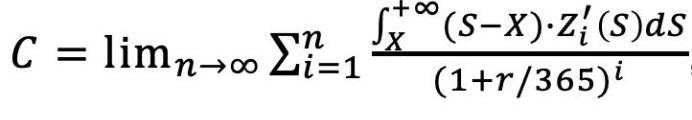
模型中的另外一個改動就是:購買認購期權的投資者是立即獲得收益,而不是等到到期日之后才會獲得,因此需要把每天的收益折現到當前。考慮到無風險利率是r,那么每天的收益即為r/365,第i天的現值應該為:

把所有的Ci累加,就得到了這種期權的定價方式:

Python模擬
我們用Python模擬了這種認購期權的定價方式:假設現價為100美元,無風險利率為6%,波動率為26%,我們研究這種認購期權價格C和到期天數n之間的關系。

這種情況很符合日常感覺,如果到期天數長,風險增加,價格超過行權價的可能性也增加了。因此認購期權就貴了,但是增長幅度變慢了,如果到期天數無限大,價格應該會收斂到一個定值。
永續時間轉換期權的定價方式
在上式中令n趨近于無窮大,我們可以得到這種期權的定價模型為:

原文鏈接:https://medium.com/@Vincent.R.Jaipul/perpetual-timer-option-pricing-8bd9f4139e79
據TheBlock12月8日報道,TRMLabs在以金融技術為重點的投資公司TigerGlobal領導的B輪融資中籌集了6000萬美元的資金.
1900/1/1 0:00:00巴比特訊,12月21日消息,以太坊核心開發人員TimBeiko在Twitter上宣布,以太坊將推出第一個公開測試網Kintsugi,用于全面升級到權益證明.
1900/1/1 0:00:00中央工信部信息技術發展司組織召開區塊鏈產業發展座談會12月2日,信息技術發展司通過線上視頻方式組織召開區塊鏈產業發展座談會.
1900/1/1 0:00:00來源:新華網 近期,“元宇宙”“區塊鏈”“NFT”“云挖礦”等高科技概念受到市場追捧。新華社記者發現,當前市場上存在部分打著“元宇宙區塊鏈游戲”“云挖礦”等高科技幌子詐騙錢財的APP.
1900/1/1 0:00:00據CoinDesk消息,12月8日,谷歌提起訴訟,旨在關閉一個復雜的加密劫持僵尸網絡,該網絡利用比特幣區塊鏈來躲避網絡安全官員.
1900/1/1 0:00:005G、物聯網、人工智能等技術的成熟和普及,催生了數字城市、智能制造、智慧生活等全新應用場景。隨著數字化進程的加快,機器與機器間的大規模協作需求也隨之升起.
1900/1/1 0:00:00