BTC/HKD-1.06%
ETH/HKD-1.23%
LTC/HKD-2.34%
ADA/HKD-2.88%
SOL/HKD-1.69%
XRP/HKD-1.61%內容
介紹
動機
當前 NFT 項目的可替代代幣發行方式
問題
解決方案的其他要求
機制
概述
定義
Goo 發行
在多個 Gobbler NFT 之間優化 Goo 生產
Goo 保持優化
多個 Gobbler NFT 的 Goo 代幣生產
激勵
代碼
總結
當 NFT 項目擁有一種可替代(ERC-20)代幣時,持有 NFT 和 代幣的社區往往會隨著時間的推移而分道揚鑣。我們創建了一種機制來抑制這種分歧,并在分歧發生時修復它。我們稱之為漸進所有權優化,或 GOO。
在我們即將推出的 NFT 項目 Art Gobblers 當中,其 NFT 可生產一種名為 Goo 的以太坊代幣。一個 Gobbler NFT 地址持有的 Goo 代幣越多,它生成的 Goo 代幣就越快。這意味著 Goo 代幣的總供應量每天都會加速增加,從數千增加到數百萬甚至更多。

在不擁有任何 Gobbler NFT 的情況下囤積 Goo 代幣,這是一種非常糟糕的策略,因為其他人都會生成 goo 代幣,而你在 Goo 代幣總供應量中的份額將迅速減少到零。另一方面,如果你擁有很多 Gobbler NFT,但擁有少量的 Goo 代幣,那么與其他玩家相比,你的 Goo 產量將會落后。
假設你維持 Gobbler NFT 的所有權,其總的 Goo 代幣生產能力為總產量的 1%,并且你從未移除你的 Goo 代幣。那么無論你開始擁有多少 Goo 代幣,你最終至少會得到 Goo 代幣總供應量的 1% !這確保了 Goo 長期保持在 NFT 持有者的控制之下。

Cathie Wood:比特幣是對沖交易對手風險的工具:金色財經報道,Ark Invest首席執行官“木頭姐”Cathie Wood此前預測比特幣價值可能達到每枚150萬美元,不過在最近接受采訪時她表示:“當時在牛市的情況下,我認為每枚比特幣會達到150萬美元,但在基本情況(base case)下是62.5萬美元(大致范圍是這樣)。” 不過Cathie Wood補充稱,由于三月份美國發生了地區銀行危機,推動她對加密貨幣信心有所增強,因為比特幣是“對沖交易對手風險的工具”。[2023/7/19 11:04:07]
從數學上講,即時的 Goo 發行量等于

,
其中 mult 是 Gobbler NFT 的乘數,是它生產 Goo 代幣的基本速度,我們使用微分方程自動合成隨時間推移的 Goo 發行量,如果你有多個 Gobbler NFT,也會自動平衡 Goo 的發行量。
在這個系統中,由于一些非常幸運的數學運算,結果表明,擁有多個乘數和為 X 的 Gobbler NFT,與擁有一個乘數為 X 的單個 Gobbler NFT 相同,這意味著,隨著一些玩家獲得更多的 Gobbler NFT,游戲將保持公平。

雖然該機制是專為 Art Gobblers 項目設計的,但它可用于任何具有可替代代幣的 NFT 生態系統。它使 NFT 和代幣持有者保持一致,同時確保 NFT 本身的首要重要性。它也很有趣,尤其是與 VRGDA 等其他機制結合使用時。
在本文中,我們分解了該機制的細節并提供了可用于生產的代碼,以便你可以在自己的項目中使用它。
目前 NFT 項目發行可替代代幣有兩種主要方式:
空投,在某個特定時間點,所有 NFT 持有者都會收到與他們持有的 NFT 數量成比例的可替代代幣數量。
恒定排放,隨著時間的推移,每個 NFT 都會產出大致恒定數量的代幣。
加密貨幣批評者:BTC價格的快速下跌只是時間問題:金色財經報道,加密貨幣批評者Peter Schiff表示,BTC價格的快速下跌只是時間問題。我不認為BTC可以作為貨幣出現。[2023/7/10 10:12:42]
一種恒定排放的方法是質押,NFT 持有者將他們的 NFT 鎖定在合約中,并每天收到一定數量的代幣。
另一種近似恒定的排放方法是 Play to Earn,擁有或有權訪問給定 NFT 的用戶可以玩游戲,然后每天有可能賺取一定數量的代幣,具體取決于他們的游戲方式。
在這兩種情況下,隨著時間的推移,持有 NFT 的人群與持有可替換代幣的人群可能會變得非常不同。
在空投的情況下,由于一些用戶在不出售其代幣的情況下出售他們的 NFT,而另一些用戶在不出售其 NFT 的情況下出售了他們的代幣,這導致代幣與 NFT 的所有權不一致(指社區分裂),并且不存在使其恢復一致的力量。
即使在恒定排放的情況下,因為可替代代幣以恒定的速率發行,NFT 和可替代代幣所有權實際上不可能隨著時間的推移恢復一致:每天,新發行的代幣在總供應量中所占的比例越來越小。此外,無論你擁有多少可替代代幣,都沒有動力將其與相當數量的 NFT 相匹配,反之亦然。一旦 NFT 和代幣持有者的群體出現分歧,就沒有任何東西可以重新調整他們。
我們希望確保 Goo 純粹是一種功能代幣,而 Art Gobblers NFT 本身仍將是經濟的支柱。我們還希望我們的解決方案非常高效,NFT 社區成員易于理解,最重要的是,使用起來會很有趣。
所有屬于給定以太坊賬戶的 Art Gobbler NFT 都會將 Goo 代幣排放到對應的「tank」 池子中,該地址的所有者可以隨時從 「tank」 池子中添加或移除 Goo 代幣。
Art Gobblers NFT 噴出 Goo 代幣的速度與地址的 「tank」 池子中已經存在的 Goo 代幣的平方根成正比。每個 gobbler 都有自己的 mult 乘數,它描述了噴出 goo 代幣的基本速率。
我們使用微分方程自動復合這種瞬時發行,并對其進行延遲評估,以便復合可以在任意長的時間段內發生,而無需花費任何 gas。
Goo 代幣會隨時間呈二次方膨脹,這比大多數代幣質押方案常見的指數膨脹要慢得多。
GameStop正式推出NFT市場:金色財經報道,GameStop的NFT市場在Immutable X上上線,該平臺使用Immutable X第二層擴展協議構建,將提供來自主要web3游戲的數字資產。GameStop的市場將提供Immutable X游戲的資產,如Gods Unchained、Guild of Guardians和Illuvium,以及其他web3游戲。(The Block)[2022/11/1 12:03:01]
當 Goo 代幣與用戶的 Gobbler NFT 成比例持有時,Goo 代幣發行可處于最佳狀態,因此規則激勵用戶按比例持有 Goo 代幣和 Gobbler NFT。由于 Goo 代幣排放的總體速率一直在增加,所以無論 Goo 已經發行了多少,這些激勵措施仍然很強大。
由于一些非常幸運的數學運算,擁有多個乘數和為 X 的Gobbler NFT ,和擁有一個乘數為 X 的 Gobbler NFT 等效,即使某些用戶積累了大量 Gobbler NFT,也能確保系統保持公平。
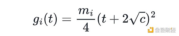
mi - Gobbler i 的 Goo 代幣排放乘數。
gi (t) - Gobbler i 的 「tank」 池子在時間 t 時的 Goo 代幣數量。
initial Goo i - Gobbler i 在最初擁有多少 Goo 代幣。
為了方便起見,我們將使用 gi (t)、m 以及 initial Goo,僅指單個 Gobbler,而沒有下標 i。
Art Gobblers 以

的速率釋放 Goo 代幣。
我們選擇平方根發行是為了確保 Gobbler NFT 比 Goo 代幣更基礎,你添加到給定 Gobbler 「tank」 池子的 Goo 代幣越多,每個新 Goo 單位的效用就越少。這意味著用戶無法通過在單個 Gobbler 的 「tank」 池子中放置大量 Goo 代幣來賺取同等比例的 Goo 代幣。
例如,在時間 1 時,如果 m 為 2,并且 g (1)為 2,則即時的 Goo 代幣發行速度會是每天
區塊鏈安全公司Hexens完成420萬美元種子輪融資:10月11日消息,區塊鏈安全公司Hexens宣布完成420萬美元種子輪融資,IOSG Ventures領投,Delta Blockchain Fund、ChapterOne VC、Hash Capital、ImToken Ventures、Tenzor Capital,以及一批來自Polygon和其他區塊鏈項目的天使投資人參投。
據悉,Hexens于2021年成立,其正在構建的產品有可能成為區塊鏈領域每個開發人員和安全研究人員的標準工具包,提升基礎設施審計、零知識證明/新型密碼學、DeFi、NFT等領域安全并推動Web3大規模采用。(Cryptonews)[2022/10/11 10:31:14]

個 Goo 代幣。
用數學表示,我們有了以下微分方程:

解之得

展開后,我們得到:

注意:為了方便起見,我們假設時間總是從 0 開始,而在生產中,必須跟蹤自上次與合約交互以來經過的時間。
想象一下,你有 4 個 Goo 代幣以及 2 個 Gobbler NFT,其中一個 NFT 的乘數為 1,另一個的乘數為 3。
你想決定如何在它們之間分配你的 Goo 代幣,以最大限度地提高你的 Goo 代幣生產速率。
如果你必須將所有的 Goo 代幣存入一個 Gobbler NFT 的池子中,顯然最好將其放入乘數為 3 的 Gobbler NFT 池子當中,此時 Goo 代幣的即時生產率為

Lightnet從LDA Capital獲得5000萬美元的資本承諾,以推動 Velo 區塊鏈技術:8月29日消息,總部位于新加坡的金融科技公司Lightnet宣布已從LDA Capital Ltd獲得5000 萬美元的資本承諾,以發展其基礎設施、運營和擴展其技術合作伙伴(Velo Labs Technology)的區塊鏈技術。Lightnet可以選擇在未來三年內將5000萬美元的總承諾增加到1億美元。這些資金將用于促進Web 3.0支付和基于區塊鏈賬本的匯款服務,重點關注亞太地區和全球各地。[2022/8/30 12:56:21]
然而,在 Gobbler NFT 之間平均分配你的 Goo 代幣會表現地更好,這樣做的即時生產率為

。
但事實證明我們可以做得更好。對于任何具有乘數為 mi 的 Gobbler NFT 組,事實證明,在它們之間分配 Goo 代幣的最佳方法,是將總的 Goo 代幣的

分配給每個 NFT。
在這種情況下,我們將分配

個 Goo 代幣給第一個 Gobbler NFT,將

個代幣給第二個 Gobbler NFT,那么總的 Goo 代幣即時生產率為

如果用戶必須不斷地在多個 Gobbler NFT 之間重新平衡他們的 Goo 代幣以保持最佳的生產率,這將是一個有趣但不是特別有用的結果。
幸運的是,一旦平衡,Gobbler 就會保持平衡!要了解原因,請注意,根據定義,在平衡時,

為了方便,我們引入一個新常數

,我們得到

并將其代入上述 gi (t) 的定義中,我們得到

進行簡化

因為這對所有 i 都是正確的,我們看到,無論 t 的值如何,Goo 代幣都會與其乘數成比例地分布在 gobbler NFT 之間,這正是我們保持最佳 Goo 生產所需的條件。
這意味著我們可自動為用戶平衡一次 Gobbler NFT 之間的 Goo,并且它們將保持平衡。
即便如此,如果 Goo 生成率復雜或難以理解,整個系統也不會特別令人滿意或有趣,用戶可能不知道如何與之交互。
幸運的是,情況并非如此。結果表明?,當 Goo 在具有乘數 mi 的 Gobbler NFT 之間最佳平衡時,總的 Goo 代幣產出速率與單個具有

乘數的 Gobbler NFT 的 Goo 代幣產出速率相同。
換句話說,乘數和為 100 的多個 Gobbler NFT,與單個乘數為 100 的 Gobbler NFT,它們的 Goo 代幣產出速率是相同的。
回到上面的例子,我們可以手動驗證是否是這種情況。當我們用乘數為 1 和乘數為 3 的 2 個 Gobbler NFT,并在它們之間平衡 4 個 Goo 代幣時,并且實現速率為 4 的即時 Goo 代幣產出速率,這和將 4 個 Goo 代幣存放在單個乘數為 1+3 =4 的 gobbler nft 池子中的情況相同,其輸出的即時 Goo 代幣產出速率為

。我們可以看到,如果我們有四個 Gobbler NFT,并且它們的乘數都為 1,則總的 Goo 代幣產出速率為

最終結果就是,擁有幾個乘數和為 10 的 Gobbler NFT,與擁有一個乘數為 10 的 Gobbler NFT 是相同的。這是非常直觀且幸運的,因為用戶可以簡單地操作,而不需要通過改變錢包之間的 Gobbler NFT 分配來操縱 Goo 代幣的生產速度。
由于 Goo 代幣的數量是呈二次方的速度膨脹的,所以持有它而不持有 Gobbler NFT 是一個嚴重的錯誤決策,因為你不會產生任何新的 Goo 代幣,并且你在整體 Goo 代幣供應中的比例將迅速減少。
此外,我們可以從上面的自動平衡部分看到,當 Goo 代幣按 mult 乘數比例分配時,整個生態系統中的 Goo 產量達到了最佳速率。因此,如果你有很多 Gobbler NFT,但只有很少的 Goo 代幣,你的 Goo 代幣產量將落后于市場水平,你將被競爭對手擊敗。因此,用戶被激勵保持其 Goo 代幣和 Gobbler NFT 持有量大致一致。
更正式地說,假設你擁有一個總乘數為 M 的 gobbler NFT 集合,如果你從未移除任何的 Goo 代幣,那么根據 g(t)的定義,我們可以看到,最終你的 Goo 代幣供應將大約等于

假設所有 Gobbler NFT 的乘數總和為 Q。如果 Goo 代幣在所有其他 Gobbler NFT 之間完全平衡,則最終他們的 Goo 代幣供應量將大約等于

,所以 Goo 代幣的總供應量將為

。而你的比例將是 M/Q,也就是你的 Gobbler NFT 總乘數所占的比例。
如果 Goo 代幣在其他 Gobbler NFT 之間沒有完美平衡,那么你在 Goo 代幣總數中獲得的比例,實際要大于你的 NFT 總乘數所占得的比例。
當然,只有當總乘數隨時間保持恒定時,才會出現這種情況,這可能與系統其余部分的工作方式無關。否則,你可能必須采取措施確保你在總乘數中的份額保持不變。
你可以在 transmissions11/goo-issuance? 找到高度優化、生產就緒的 GOO 實施代碼,歡迎有改進的拉取請求。
GOO 是為 Art Gobblers 項目設計的,但我們相信它適用于各種 NFT 項目和鏈上游戲。如果你想通過 NFT 發行一種可替代的代幣,同時確保用戶持有的 NFT 以及代幣大致成比例,那么 GOO 代幣模型可能就適合你。
如果你有興趣將 GOO 集成到你的項目中,我們很樂意聽到你的消息。
致謝:samczsun,Riley Holterhus,Aaru,Otto Suwen,0xmisaka,NN Blossoms,DCFPascal,kootsZhin,snoopy,Ben Leimberger,shant,0xQTpie
隔夜的粥
個人專欄
閱讀更多
DeFi之道
財經法學
成都鏈安
金色早8點
Bress
鏈捕手
PANews
Odaily星球日報
FTX 的首席執行官 Sam Bankman-Fried 分享了他對公司管理、招聘、品牌決策和行業競爭的看法.
1900/1/1 0:00:00文/Jack Niewold,Crypto Pragmatist創始人我的父親對整個互聯網技術堆棧有著非常驚人的看法——畢竟,他親歷了互聯網的初始時期.
1900/1/1 0:00:00文/William M. Peaster,Bankless Metaversal 最佳功能:Smart Money Tracker(用于跟蹤表現最佳的NFT交易者)和Min.
1900/1/1 0:00:00昨日,美國商品期貨交易委員會(CFTC)在美國加州北區地方法院對 Ooki 協議(前 bZx 協議)運營組織 Ooki DAO 提起訴訟,并對 Ooki DAO 處以 25 萬美元罰款.
1900/1/1 0:00:00Cosmos 2.0開啟更為宏大的新敘事,Ethan Buchman在9月23日的文章中闡述了Cosmos的理念與目標,并對三個發展階段——Initiation.
1900/1/1 0:00:00外媒最新消息指出,歐盟具有里程碑意義且現已敲定的加密資產市場 (MiCA) 立法草案聲稱,作為大型收藏品的組成部分出售的 NFT 幾乎沒有或沒有明顯獨特的品質或效用,因此.
1900/1/1 0:00:00