BTC/HKD-1.81%
ETH/HKD-1.32%
LTC/HKD-0.65%
ADA/HKD-3.21%
SOL/HKD-1.84%
XRP/HKD-1.56%TL;DR
在上一篇文章Hello,OlaVM!中提到,OlaVM的愿景是建立一個高性能的ZKVM,本文將重點介紹使得OlaVM獲得高性能的工具之一,Lookupargument。Lookupargument對縮減電路規模,以提高ZK效率有很重要的作用,在ZKVM的電路設計中被廣泛應用,通過本篇文章你可以了解到:
1.Lookupargument在ZKVM中將發揮著怎樣的角色?
2.Plookup協議原理。
3.Halo2的Lookupargument協議原理。
4.兩個Lookupargument算法之間的聯系。
TherolesinZKVM
所謂的ZKVM,其實就是用ZK約束VM所有的執行過程,VM的執行過程一般可以分為:指令執行,內存訪問,內置函數執行等。在一個trace里執行對這些操作的約束看起來有點不切實際,首先,不同操作類型的約束對應不同的trace的寬度,如果其中一個約束對應的trace寬度特別大,就會造成其余約束對應trace的浪費;然后,一個trace里有太多不同的操作類型,就會引入更多的selector,不僅會增加多項式的個數,而且還會增加約束的階;最后,由于群的階限制,trace的行數不能超過這個群的階,因此,應該盡量減少某種類型的操作所占用的trace行數。
Coin98 Labs 推出多鏈 NFT 市場 Dagora,提供 Launchpad、鑄幣等功能:3月14日消息,Coin98 Labs 推出多鏈 NFT 市場 Dagora,旨在擴展 Coin98 生態系統。該平臺提供 NFT 交易、 Launchpad、免費 NFT 鑄幣(Hot Drops)等功能。
據悉,Dagora 在軟啟動期間將支持 Polygon、BSC 和 Solana 等網絡。[2023/3/14 13:03:42]
因此,為了簡單,我們需要:
a.把不同的操作類型分成多個子trace,然后分別證明,主trace和子trace之間需要通過Lookupargument來保證數據的一致性。
b.對于一些ZK-unfriendly計算,我們可以通過Lookupargument技術來縮減trace的規模,比如位運算等。
當然,也有其他的一些技術手段來減少trace規模,我們將在后面的文章中給予說明。
Lookupbetweentracetables
VM所有的執行過程會組成一個完整的trace,稱為主trace,這里的完整是包含VM執行的所有狀態,不會涉及到輔助狀態,比如,方便ZK驗證的一些擴展信息等;如前面所述,在主trace里面包含這種輔助信息,會使得主trace變得復雜,難于約束。因此,為了約束方便,通常會建立一些子trace,然后分別針對這些子trace進行約束,而主trace主要用來進行執行正確的程序約束和Context約束。
The Sandbox:第三方盜取員工計算機權限,向用戶發送包含惡意鏈接的電子郵件:3月2日消息,The Sandbox 發文表示,2 月 26 日發現未經授權的第三方獲得了團隊一名員工計算機的訪問權限,并使用其權限發送了一封虛假的聲稱來自 The Sandbox 的電子郵件。這封名為“The Sandbox Game (PURELAND) Access”的電子郵件包含指向惡意軟件的超鏈接,能在用戶的計算機上遠程安裝惡意軟件,從而授予其對計算機的控制權和對用戶個人信息的訪問權。
The Sandbox 表示,在發現未經授權的訪問后,已通知收件人,并封禁了該員工的帳戶和對 The Sandbox 的訪問,目前還沒有發現任何進一步的影響。[2023/3/2 12:38:31]
圖片1.Lookupbetweentraces
通過建立不同的子trace,我們把VM執行的不同操作進行劃分,通過Lookupargument技術來保證了子trace的數據源于主trace。對于子trace里的數據有效性證明,需要根據具體的操作類型,生成不同的trace,然后用對應的約束去證明trace的有效性;特別是對于bitwise,rangcheck等zk-unfriendly操作。
Conflux與加密支付網關Alchemy Pay達成合作:2月25日消息,據官方消息,Conflux宣布與加密支付網關Alchemy Pay達成合作,將提供一個簡單的法幣入金支付解決方案,使用戶能夠使用當地法定貨幣購買加密貨幣。[2023/2/25 12:29:19]
LookupforZK-unfriendlyoperations
如前面所述,每個子trace的證明是獨立的,所以獲得一個盡可能小的trace,會提高prover的效率。以bitwise為例,bitwise操作包含AND,XOR,NOT三種操作。如果想通過電路單純的實現對bitwise操作的約束,那需要做的可能是,把每個op拆成多個2進制的limbs,如果這些op是32bit位寬,那就會拆分成32個limbs。然后,你需要約束:

總共占用3+32*3=99個tracecell,約束個數為3次sumcheck+32次bitwise=35個。
如果這個時候有一些真值表,對于AND,XOR,NOT計算,你可以定義三個表,這些表里存的是指定位寬的op進行bitwise計算的數據,比如8bit。對于32bit的op,只需要把它們拆分成4個8bit的limbs,然后這些op的limbs之間的bitwise關系,也不用對應的約束去實現,只需要在fixedtable里進行Lookup即可,此時,總共占用了3+4*3=15個tracecell,約束個數為3次sumcheck+1次Lookupargument。
美SEC主席:證券法適用于大部分加密資產,SEC有權監管加密:金色財經報道,美國證券交易委員會主席 Gary Gensler 在接受雅虎財經采訪時重申其認為大部分加密貨幣都屬于證券的觀點,并表示他已告知交易平臺和其他中介機構進行注冊。其個人認為證券法適用于規范加密資產,SEC 在監管加密市場的事情上有足夠的權利。
此外,被問及 FTX 相關問題時,Gensler 表示,目前暫不能就具體個例進行回答,但美國法律明確禁止交易平臺挪用用戶資產。[2022/12/8 21:29:38]
圖2.LookupinArithmeticoperations
Lookupargument不僅對bitwise操作的證明有極大的提升作用,對于rangeck操作同樣。對于32bit的op,只需要把他拆分成2個16bit的limbs即可;這里有兩個很好的設計,一個是會使得rangecheck占用更少的tracecells;另外一個是rangcheck的sum約束可以復用我們自定義的ADD-MUL約束。對于不同的計算類型,能夠復用同一個約束,對整體的效率提升具有很大的幫助,如上圖所示,對于自定義的ADD-MULgate,它可以支持ADD,MUL,ADD-MUL,EQ,RANGECHECK五種計算類型的約束復用。
SOL突破48美元:SOL突破48美元,現報48.04美元,日內漲幅達到1.69%,行情波動較大,請做好風險控制。[2022/8/14 12:24:27]
Plookup協議
介紹

符號說明

預處理

協議過程

協議理解


Halo2Lookup協議
介紹

協議過程

支持ZK

Extend-1:VectorLookup

Extend-2:Multi-tables

LinksbetweenPlookupandLookup
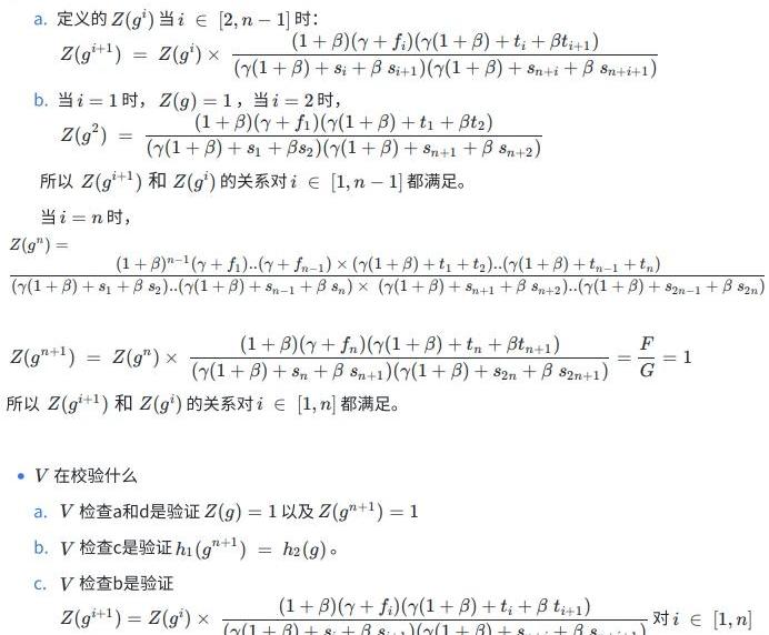
Plookup協議與Halo2的lookup協議都能證明f?t,但兩個協議的思想是不同的,區別如下:
Plookup需要使用f和t構建一個新的數列s,f和t中的元素都在s中至少出現一次,接著通過比較s和t中元素的非零距離集合是相等的來證明s?t,最終f?s?t→f?t。
Halo2的lookup直接證明f?t,不需要構建新的數列,比plookup更簡潔。
Plookup和Halo2lookup都需要對集合進行排序和補齊,plookup補齊后|t|=|f|+1,Halo2lookup補齊后|t|=|f|=2^k。
參考
1.Hello,OlaVM!:https://hackmd.io/@sin7y/H1yPj_J8i
2.OlaVM:https://olavm.org/
3.Plookup協議:https://eprint.iacr.org/2020/315.pdf
4.Halo2的Lookupargument:https://zcash.github.io/halo2/design/proving-system/lookup.html
關于我們
Sin7y成立于2021年,由頂尖的區塊鏈開發者組成。我們既是項目孵化器也是區塊鏈技術研究團隊,探索EVM、Layer2、跨鏈、隱私計算、自主支付解決方案等最重要和最前沿的技術。團隊于2022年7月推出OlaVM白皮書,致力于打造首個快速、可擴展且兼容EVM的ZKVM。
官網:https://sin7y.org/
白皮書:https://olavm.org/
社群:http://t.me/sin7y_labs
官推:@Sin7y_Labs
微信公眾號:Sin7y
郵箱:contact@sin7y.org
研究文章:https://hackmd.io/@sin7y
Github:Sin7y
Bitfinex首席技術官PaoloArdoino:作為一種貨幣形式,以太坊無法與比特幣競爭美國企業家、商業戰略公司MicroStrategy前首席執行官MichaelSaylor加大了他對比特.
1900/1/1 0:00:00據官方消息,UnstoppableDomains已成為2022波場黑客松大賽第三季合作伙伴。與此同時,UnstoppableDomains合伙人工程經理JimAmarando將擔任本季評委.
1900/1/1 0:00:00保險的可用性是使企業能夠承擔風險、創新并與更多交易對手進行交易的主要因素之一。自從該行業早期為船東在航行期間因不可預見的情況而造成的損失提供保障以來,保險就在促進交易方面發揮了關鍵作用.
1900/1/1 0:00:00全球金融系統普遍存在抵押率和透明性不足的問題,導致系統性風險頻發,經濟反復經歷興衰周期,最終整個金融市場陷入崩潰.
1900/1/1 0:00:00塞爾維亞和南斯拉夫的菲利普親王加入了比特幣創業公司JAN3,擔任CSO。他將與高層人士接觸并監督戰略舉措,以加速比特幣在國家和個人中的應用.
1900/1/1 0:00:00TRONSCAN最新數據顯示,過去六十周,TRX持續處于通縮狀態,通縮量達99.78億枚TRX.
1900/1/1 0:00:00