BTC/HKD-0.48%
ETH/HKD-0.21%
LTC/HKD-0.35%
ADA/HKD-0.22%
SOL/HKD+0.38%
XRP/HKD-0.45% 
之前UniswapV3推出的時候,不少小伙伴們在想:Curve會不會被UniswapV3干掉。如今CurveV2出來了。Curve非但沒有被干掉,且其前進的步伐更進一步。從目前看,Curve的TVL達到91.7億美元,接近于第一位的AAVE,按照當前趨勢,Curve的TVL在未來一段時間有一定的概率超過AAVE位居首位。

目前UniswapV3的TVL是16.1億美元,UniswapV2為44.2億美元,僅從鎖定資產總量看,距Curve有較大距離。雖然TVL不能代表全部,但從一個側面說明了Curve發展的迅速,它對于資金的吸引力在增強,之前不少人擔心Curve會被UniswapV3干掉的局面并沒有發生。Uniswap的V3更適合專業的做市商
要想理解CurveV2的迭代,理解Uniswap的迭代也有幫助。在UniswapV2的設計中,其所有LP的做市模式是無差別的,唯一差異是每個LP因為其提供的做市資金不同而產生份額比例的不同。在這種設計機制下,計算貢獻的主要方式是資金和時間,資金份額越大,提供時間越長,收益越大。因此,LP增加其收益方法是,增加其份額比例和提供時間。UniswapV3則打破了這種設計,引入了競爭性的模式。對于LP來說,要想獲得更大的收益,不僅關乎投入的資金量,也關乎LP的策略設置。在這種情況下,對于專業的LP提供商有利,對于非專業的普通用戶或大資金提供者不一定有利。在UniswapV3的流動性提供機制設計下,LP可以將其提供流動性的資金進行個性化設置,將其資金自定義地置于某個區間,以增大其資本的利用率,同時獲得了更高的杠杠,有利于獲得更大的收益,不過,同樣不可避免的是,也增加了相應的無常損失的風險。總結來說,當LP將其資金聚集在當前市場匯率的周圍時,本質上是對市場趨勢的一種判斷。流動性聚集區間越窄,可獲得的杠杠越高,收益也可能越高,但如果波動過大,則無常損失也會相應增大。因此,會有大量的LP不斷進行各種策略的探索,從目前看,大量的資金都匯集在50%的波動性范圍之內。
LendHub被黑簡析:系LendHub中存在新舊兩市場:金色財經報道,據慢霧安全區情報,2023 年 1 月 13 日,HECO 生態跨鏈借貸平臺 LendHub 被攻擊損失近 600 萬美金。慢霧安全團隊以簡訊的形式分享如下:
此次攻擊原因系 LendHub 中存在兩個 lBSV cToken,其一已在 2021 年 4 月被廢棄但并未從市場中移除,這導致了新舊兩個 lBSV 都存在市場中。且新舊兩個 lBSV 所對應的 Comptroller 并不相同但卻都在市場中有價格,這造成新舊市場負債計算割裂。攻擊者利用此問題在舊的市場進行抵押贖回,在新的市場進行借貸操作,惡意套取了新市場中的協議資金。
目前主要黑客獲利地址為 0x9d01..ab03,黑客攻擊手續費來源為 1 月 12 日從 Tornado.Cash 接收的 100 ETH。截至此時,黑客已分 11 筆共轉 1,100 ETH 到 Tornado.Cash。通過威脅情報網絡,已經得到黑客的部分痕跡,慢霧安全團隊將持續跟進分析。[2023/1/13 11:11:00]

安全團隊:Defrost Finance被攻擊事件簡析:金色財經報道,據區塊鏈安全審計公司Beosin旗下Beosin EagleEye安全風險監控、預警與阻斷平臺監測顯示,Defrost Finance預言機被惡意修改,并且添加了假的抵押token清算當前用戶,損失超1300萬美元。攻擊者通過setOracleAddress函數修改了預言機的地址,隨后使用joinAndMint函數鑄造了100,000,000個H20代幣給0x6f31地址,最后調用liquidate函數通過虛假的價格預言機獲取了大量的USDT。后續攻擊者通過跨鏈的方式將被盜資金轉移到了以太坊的0x4e22上,目前有490萬美元的DAI在0x4e22地址上,有500萬美元的DAI在0xfe71地址上,剩余300萬美元的ETH被轉移到了0x3517地址上。[2022/12/25 22:06:35]


Beosin:BSC鏈上的gala.games項目遭受攻擊事件簡析:金色財經報道,根據區塊鏈安全審計公司Beosin旗下Beosin EagleEye 安全風險監控、預警與阻斷平臺監測顯示,BSC鏈上的gala.games項目遭受攻擊,Beosin分析發現由于pNetwork項目的bridge配置錯誤導致pTokens(GALA) 代幣增發,累計增發55,628,400,000枚pTokens(GALA),攻擊者已經把部分pTokens(GALA) 兌換成12,976個BNB,攻擊者(0x6891A233Bca9E72A078bCB71ba02aD482A44e8C1)累計獲利約434萬美元。Beosin Trace追蹤發現被盜金額還存在攻擊者地址中。
第一筆攻擊交易:0x4b239b0a92b8375ca293e0fde9386cbe6bbeb2f04bc23e7c80147308b9515c2e
第二筆攻擊交易:0x439aa6f526184291a0d3bd3d52fccd459ec3ea0a8c1d5bf001888ef670fe616d[2022/11/4 12:17:00]

慢霧:Harmony Horizon bridge遭攻擊簡析:據慢霧安全團隊消息,Harmony Horizon bridge 遭到黑客攻擊。經慢霧 MistTrack 分析,攻擊者(0x0d0...D00)獲利超 1 億美元,包括 11 種 ERC20 代幣、13,100 ETH、5,000 BNB 以及 640,000 BUSD,在以太坊鏈攻擊者將大部分代幣轉移到兩個新錢包地址,并將代幣兌換為 ETH,接著將 ETH 均轉回初始地址(0x0d0...D00),目前地址(0x0d0...D00)約 85,837 ETH 暫無轉移,同時,攻擊者在 BNB 鏈暫無資金轉移操作。慢霧 MistTrack 將持續監控被盜資金的轉移。[2022/6/24 1:28:30]


從上面的圖中,我們可以看出,絕大多數的流動性都往當前匯率價格附近聚集,且有些流動性的聚集度非常高。通過流動性聚合,UniswapV3本質上是引入了LP做市的競爭。會玩的LP可以根據市場的波動將其流動性進行合理調整,以獲取更大的收益;而有些LP調整如果沒那么及時,其收益就會降低,甚至如果市場價格波動到其價格范圍之外,其流動性資金也無法賺取費用。當然,如果LP設置的價格區間過窄,無常損失也會更大。收益越高風險越大,這一點并沒有變化。但如果設置不到位,收益變小,甚至沒有收益。因此,根據市場的變化,需要講究策略。在這種情況下,作為普通LP可能越來越無法跟專業的LP競爭,在交易市場總量相對的情況下,專業LP會賺取更多的收益。因此,可能會催生更多的做市策略商,它們的資金不一定多,但如果其策略足夠好,它可以幫助其他非專業的LP進行做市管理。普通LP可以將其資金存入到專業做市管理商的合約中,由這些專業的策略商聚合后進行統一管理,包括如何選擇價格范圍、重置的頻率等。在UniswapV3的設計下,大資金不一定收益就更高,策略的權重在上升。CurveV2也適合普通LP的參與
Force DAO 代幣增發漏洞簡析:據慢霧區消息,DeFi 量化對沖基金 Force DAO 項目的 FORCE 代幣被大量增發。經慢霧安全團隊分析發現: 在用戶進行 deposit 操縱時,Force DAO 會為用戶鑄造 xFORCE 代幣,并通過 FORCE 代幣合約的 transferFrom 函數將 FORCE 代幣轉入 ForceProfitSharing 合約中。但 FORCE 代幣合約的 transferFrom 函數使用了 if-else 邏輯來檢查用戶的授權額度,當用戶的授權額度不足時 transferFrom 函數返回 false,而 ForceProfitSharing 合約并未對其返回值進行檢查。導致了 deposit 的邏輯正常執行,xFORCE 代幣被順利鑄造給用戶,但由于 transferFrom 函數執行失敗 FORCE 代幣并未被真正充值進 ForceProfitSharing 合約中。最終造成 FORCE 代幣被非預期的大量鑄造的問題。 此漏洞發生的主要原因在于 FORCE 代幣的 transferFrom 函數使用了`假充值`寫法,但外部合約在對其進行調用時并未嚴格的判斷其返回值,最終導致這一慘劇的發生。慢霧安全團隊建議在對接此類寫法的代幣時使用 require 對其返回值進行檢查,以避免此問題的發生。[2021/4/4 19:45:30]
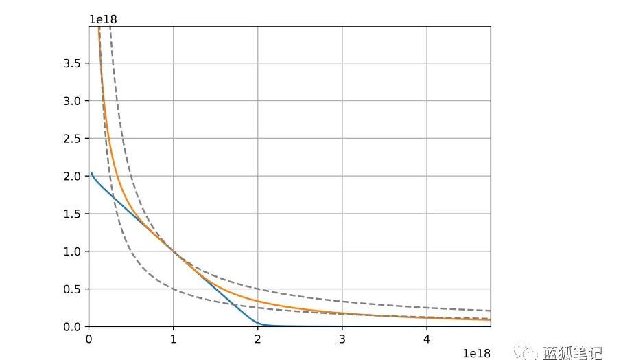
CurveV2跟UniswapV3在聚集流動性和提升資本效率方面目標相同,但具體方法不同,最終對于不同主體的影響也不同。*CurveV2價格曲線的兼容性CurveV2在兼容性上表現不錯。下面是CurveV2白皮書上的圖:

藍線是其穩定幣兌換曲線,是CurveV1的兌換曲線,而黃線是更通用的代幣兌換曲線,是CurveV2的兌換曲線。從這條曲線,我們可以看到它的兼容性:一方面,兼顧了V1的穩定幣兌換,同時還兼顧流動性的尾部,由此應對匯率的快速變化。相對而言,在UniswapV3,絕大部分的流動性會集中在于盤口附近,尾部的流動性可能極小,我們在上面的實例中可以看到,這在事實上已經發生。*CurveV2的自動化做市上面我們提到,UniswapV3也可以改變其流動性聚集點,不過,它主要是通過LP們對市場的判斷進行主動化的管理來達成。而CurveV2則是根據預言機進行自動化的調整。這使得普通的LP參與CurveV2更方便,而UniswapV3正如上面提到的,逐漸變成了比拼LP策略的陣地,更適合專業的LP做市商。比較來說,UniswapV3是個性化的管理,而CurveV2是自動化的管理,這有點像互聯網時代的個性化設置和自動化推薦之間的關系。互聯網web1.0時代,用戶是受眾,無法上傳內容或個性化管理自己的偏好;而2.0時代用戶可以上傳內容,可以進行個性化設置;而如今則進入智能推薦時代,以算法自動化推送為主,這更符合大多數用戶“懶”的需求。從UniswapV3到CurveV2也一種類似的感覺。那么,CurveV2如何實現其自動化做市?*不斷變化的新曲線CurveV2為什么可以實現自動化的做市管理?可以讓LP無須主動設置即可實現其流動性的再平衡?CurveV2的價格曲線并不是固定不變的。它會不斷通過內部預言機的方式來改變其流動性聚集點,一方面可以實現更好的流動性和提升資產效率,也有利于減少LP的無常損失。也就是說,CurveV2的“內部價格預言機”在其流動性聚集點遷移方面起到重要作用。Curve的內部價格預言機機制為EMA,意為指數移動平均線,它會根據Curve中的歷史價格和最新交易價格等綜合得出參考價格。有了EMA,CurveV2可以構建新的價格曲線,使得流動性重新聚集在盤口價格附近。當然,什么時候進行流動性聚集的再平衡,也需要閥值。它會根據EMA來不斷獲取內部匯率的移動,并更新Xcp的變量,以此來衡量波動率。如果匯率波動超過一定的閥值,則會更新曲線,產生新的流動性聚集點,由此保護LP的利益。這對Curve2的所有LP都是一樣的,不用主動設置其流動性的價格范圍,由系統根據其預言機價格自動將LP的流動性聚集到盤口價格附近。由于是通過自動再平衡來調整流動性的聚集,不同LP之間的流動性只有數量和提供時間差異,沒有其他方面的差異,這跟之前的流動性提供沒有區別,因此其LP份額代幣依然可以是同質化的代幣,這有利于其可組合性。而UniswapV3由于不同LP做市價格范圍不同,只能用非同質化的代幣NFT來表達。在UniswapV3,LP除了自行設置價格范圍,還可以自定義手續費用。而在CurveV2,這也是以自動化方式來解決。如果市場價格接近于流動性聚合的中點位置,其手續費最便宜,如果偏移越大,其費用會越高。總結來說,從LP做市的角度,UniswapV3越來越適合專業的LP來玩,相對而言,普通的LP較難跟上其調整的節奏,如果沒有及時調整,很難爭取到其做市的收益。這也催生了專業的LP,可以為普通的LP提供做市管理的服務。CurveV2則不用考慮這一點,只需要將資金注入到其流動性池,剩余的事情交由協議來完成,協議會根據價格的波動,不管構建新的價格曲線,將流動性聚集在交易價格附近。跟CurveV1相比,CurveV2的價格均衡點會不斷移動,會產生不斷變化的曲線,就像是形成了一個虛擬的面。這種不斷變化的曲線,使得流動性永遠朝匯率附近聚集,提升資本效率,并減少了無常損失,同時對于用戶來說,也可以降低滑點。假設Sushiswap采用Curve2的模式
在目前的競爭態勢下,Sushiswap采用UniswapV3的做市模式,不如采用CurveV2的做市模式,從某種意義上,CurveV3更貼近DEX內在的發展趨勢。當然UniswapV3也有其靈活性的特點,也有不少優勢。假設SushiSwap采用了CurveV2的做市模式,鑒于其目前的用戶數和多鏈平臺的策略,也許通過它可以更接近于Uniswap。從UniswapV3的迭代,再到CurveV2的迭代看,未來的DEX格局還存在很大的變數。還要考慮到一點,就是DeFi目前還處于非常早期的階段,如逆水行舟,不進則退。我們可以來看看,DeFi上最重要的領域之一借貸市場的情況:去年六月,MakerDAO和Compound的用戶數占據整個DeFi借貸市場的絕大部分,而AAVE僅有10%左右,如今,AAVE用戶數占據市場的57%以上,而MakerDAO和Compound分別下降到19%和24%左右。

DeFi的未來版圖不會是固定的,而是充滿無限可能性。
Tags:CurveCURSWAPUNIcurve幣的CEO照片MercuryMatrixswapunisat錢包怎么充值手續費
Moonbeam登月宇航員 2021年6月21日的Moonbeam登月宇航員線上活動,我們很榮幸地邀請到了圓桌嘉賓真本聰的索老頭,分布式資本的James.
1900/1/1 0:00:00穩定幣USDC正計劃將發行地進一步擴大到Tron、Avalanche、Celo等10個區塊鏈上,以加快提升市場占有率.
1900/1/1 0:00:00Odaily星球日報譯者|余順遂歐洲去中心化金融融資市場今年蓬勃發展,與此同時,立法者們正尋求打擊該行業.
1900/1/1 0:00:00這是白話區塊鏈的第1366期原創作者|hebao出品|白話區塊鏈6月30日,Circle與Coinbase聯手創辦的合規美元穩定幣USDC.
1900/1/1 0:00:00前言“我TonyTao有一個夢想,就是在敦煌風化之前盡早去看一次!”為了實現TT的夢想,同時為了在實習生走之前給她留下一個粉紅色的回憶,我們踏上了去往敦煌的旅程.
1900/1/1 0:00:00最近行情處于窄幅震蕩,用戶交易熱情下降,新項目也就更少了。這樣的局面,可能還會持續一段時間。似乎整個市場,都在靜待時機。提醒廣大用戶,謹慎操作,避免資產遭受損失.
1900/1/1 0:00:00