BTC/HKD-0.04%
ETH/HKD-0.89%
LTC/HKD-0.23%
ADA/HKD-1.88%
SOL/HKD-1.09%
XRP/HKD+0.11%北京時間8月4日凌晨,去中心化衍生品項目方dYdX宣布鑄造了10億治理tokenDYDX,并將在5年內分配完畢。其中,有50%的DYDX將分配給社區用戶,27.73%的DYDX分給投資者,其余部分則分配給創始團隊、顧問等。據悉,dYdX將初始token供應的7.5%空投給過往使用過該協議的用戶,而取得空投資格的用戶,需在dYdX的Layer2協議上完成相應的交易量才可領取獎勵。除此之外,dYdX還為交易者及流動性提供者提供了token激勵。延伸閱讀:官方詳解DYDX治理代幣注:為了避免監管問題,項目方排除了美國等司法地區,因此使用這些地區IP地址的用戶將無法領取到空投獎勵。

Coinbase市值跌至336億美元,約為IPO市值三分之一:3月15日,雅虎行情數據顯示,Coinbase當前市值已跌至336億美元,約為IPO市值三分之一,當前價格為153.19美元。Coinbase此前IPO開盤價為381美元,初始市值為996億美元,開盤當日曾一度漲到429.54美元,對應市值為1120億美元。[2022/3/15 13:57:41]
1追溯空投獎勵
據悉,dYdX在2021年7月26日UTC0時截取了快照,共有64306個用戶地址符合空投資格,最低每個賬戶可領取到310DYDX,最高則有9529DYDX,盡管當前這些token還沒有在市場上交易,但據此前dYdX已獲得的8700萬美元融資來看,這些空投的價值將十分可觀。而獲得空投資格的用戶,需在28天內完成交易量任務,然后等至Epoch0結束后8天方可領取獎勵。而在這個期間沒有完成交易任務的獎勵,將被沒收并自動分配到社區金庫。舉一個例子:假設A的一個地址擁有空投資格,其訪問https://trade.dydx.exchange/portfolio/rewards并連接錢包后顯示可領取1163.5DYDX,則其需要在28天的時間內在dydx上完成500美元及以上的交易量才可獲取所有的空投獎勵,如果他只完成了250美元的交易量,則他可領取的獎勵只有581.75DYDX,剩余的部分將被沒收。
數據:以太坊平均Gas費用降至最高點的三分之一:歐科云鏈OKLink數據顯示,以太坊建議Gas費用驟降,當前為106.63Gwei。上周因Defi挖礦熱潮,以太坊平均Gas費持續上漲,于9月2日漲至歷史峰值514.54Gwei,隨著近日行情有所降溫,Gas費用也出現回落。截至9月6日,平均Gas費降至最高點的三分之一,降至183Gwei。[2020/9/7]

注:由于token獎勵無法立即獲取,完成領取任務注意要避免在網絡擁堵的情況下進行。2交易獎勵
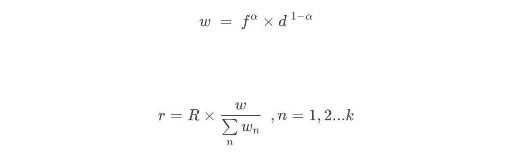
除了初始空投獎勵外,dYdX還將初始代幣供應量的25%分配給在未來5年內在dYdXLayer2協議上進行交易的用戶,每個epoch周期將分配3,835,616DYDX代幣。以下是具體分配涉及到的函數公式:
聲音 | 安永:超過三分之二的亞太公司缺乏對區塊鏈解決方案的理解:據businesstimes報道,安永會計師事務所(Ernst&Young,EY)在一個實時區塊鏈直播中調查發現,在區塊鏈解決方案方面,超過三分之二或68%的亞太公司對其應用缺乏了解和教育。安永周二表示,缺乏理解和教育是董事會和高管在采用區塊鏈解決方案時面臨的最大障礙。此外,大約三分之二或66%的受訪者認為,在將區塊鏈應用于組織之前,他們需要更好地了解區塊鏈的可能性,風險和好處。此次調查共有576名亞太地區參與者,其中13.7%來自新加坡。[2019/7/16]

稱區塊鏈前期投入大 太一云未彌補虧損達實收股本三分之一:據證券時報消息,太一云(430070)5月2日晚間發布公告,公司未彌補虧損已達實收股本總額的三分之一,主要因公司處于業務模式轉型期,增加了區塊鏈相關技術的研發、服務和應用業務,區塊鏈前期投入大,導致凈利潤同比大幅下降。公司稱將積極布局國內外區塊鏈市場,推動區塊鏈項目落地,提高盈利能力。[2018/5/2]
以下示例說明了使用上列公式計算出的交易者A、B和C的交易獎勵:

注意:通過交易獲得的DYDX代幣將在每個epoch周期結束后7天才可領取交易挖礦獎勵,領取地址:https://dydx.community/dashboard。

3流動性提供者獎勵
而對于不擅長衍生品交易的用戶而言,他們也可以通過提供流動性獲取到DYDX代幣。項目方表示將初始代幣供應量的7.5%在未來5年內逐漸分配給流動性提供者,具體規則涉及到了一個涉及市場參與度、兩側深度、買賣價差的數學組合公式,具體函數如下:

有興趣了解細節的讀者可以訪問https://docs.dydx.community/dydx-governance/rewards/liquidity-provider-rewards了解,根據官方的說明,并不是每個流動性提供者都可以獲取到LP獎勵,門檻是在前一個epoch周期中,用戶需在dYdXLayer2協議上達到至少5%maker交易量的流動性提供者才可在當前epoch周期獲取LP獎勵。對于Epoch0,dYdX項目方將會顯示哪些LP滿足了這個條件。目測這個LP獎勵也不是那么好拿的。4如何領取
進入dYdX首頁,左側點擊Rewards進入Rewards后,將顯示該地址是否有DYDX空投可以領取。不過按照規定,用戶不能直接領取DYDX空投獎勵,不同量級的歷史用戶需要在dYdX的Layer2版本中再次滿足一定交易量的要求才能領取空投。如圖所示,官方對不同量級用戶分別設置了領取門檻,用戶需要在8月3日15時至8月31日15時間,在dYdX的Layer2版本中,完成對應交易量,才可領取空投。如歷史交易量超過100萬美金的用戶需要在改時間段內在完成10萬美金交易量,才可領取空投。文章參考:DeFi之道,標題《三分鐘了解dYdX空投、交易及LP獎勵規則》律動BlockBeats,標題《如何領取去中心化衍生品交易協議dYdX治理代幣?》星球日報對內容進行刪改編輯,經授權轉載。
Tags:DYDX區塊鏈POCLAYERdydx幣可以長期持有嗎區塊鏈工程專業學什么課程的Pocketful of QuartersMonster Slayer Finance
周一,Solana的SOL和Terra的LUNA代幣價格創下歷史新高。根據FTX和TradingView的數據,Solana是由加密貨幣交易所FTX創始人SamBankman-Fried支持的公.
1900/1/1 0:00:00·比特幣是加密貨幣世界的市場基準。自去年5月19日COVID疫情驅動的崩潰以來,加密貨幣市場出現了最嚴重的跌幅。BTC單日暴跌33%,一度跌至29,000美元的低點.
1900/1/1 0:00:00MaskTalk是由MaskNetwork發起的一檔聚焦Web3.0行業熱點的Podcast。第一期節目嘉賓為AxieInfinity的聯合創始人和增長負責人Jihoz、MaskNetwork的.
1900/1/1 0:00:00拍賣動態 StevenWolfram推出基于Cardano的NFT系列并開啟拍賣Cardano研發公司IOHK的團隊在推特上發布了關于NFT系列的消息.
1900/1/1 0:00:00八月——月度回顧八月初,StandardProtocol獲得了PolygonDeFiforAll基金的資助。現在STND合約已完成在Polygon上的部署,接下來我們將實現STND的可遷移性.
1900/1/1 0:00:00原文作者:LucaProsperi文章翻譯:Blockunicorn 我在一個殘酷、無國籍的 游戲 世界中長大.
1900/1/1 0:00:00