BTC/HKD-0.13%
ETH/HKD-0.41%
LTC/HKD-0.29%
ADA/HKD-0.78%
SOL/HKD-0.59%
XRP/HKD-0.83%介紹
本文介紹了恒定速度發行銷售協議,這是一種定價機制,旨在隨著時間的推移以目標速度銷售NFT。如果我們想每天賣出100個NFT,但實際只能賣出10個,那么CRISP會慢慢降低“立即購買”的價格。如果我們想每天賣出100個NFT,但實際能夠賣出200個,那么CRISP會在每次新賣出時迅速提高“立即購買”的價格。我們提供了一個Pythonnotebook來模擬這個機制的行為,以及一個參考Solidity實現。動機
想象一下,你有一套無限數量的NFT,你想以固定的速度出售——比如每天100個。你可以設計一個拍賣系統來實現這個目標。你可以在一次拍賣中出售所有100個,或者可能舉行100次不同的拍賣,每次拍賣一個NFT。但是,拍賣的用戶體驗可能非常笨拙——拍賣需要花費gas,我們希望用戶能夠隨時購買其中一個NFT,而無需等待拍賣終止。機制
基于波卡的去中心化借貸和質押平臺Parallel Finance獲得Web3基金會資助:Parallel Finance宣布獲得Web3基金會資助,將用于在Polkadot上建立去中心化借貸和質押平臺。
截至目前,Parallel Finance已在測試網上構建借貸和質押界面,可以用來在Kusama上對主網即將推出的功能進行回溯測試,Parallel將在贏得平行鏈拍賣后立即進行部署。此界面可用于測試稱為“杠桿質押(leverage staking)”的協議,該協議允許用戶利用其質押的KSM和DOT進行借貸,以便在獲取質押收益的同時獲得貸款收益。Parallel還構建了節點驗證者評估模式,
該模式使用其質押界面。此模式用于根據驗證者的信譽歷史為用戶指定最佳驗證者。Parallel已經提供教育材料(教程和媒體文章),允許用戶與新的借貸界面進行交互,并對其第一個版本進行Beta測試。在不久的將來,Parallel Finance計劃部署固定利率平行鏈貸款界面。此外,Parallel正在開發一種動態跟蹤利率的新方法。[2021/7/4 0:25:30]
概述
Synthetix完成1200萬美元融資,Coinbase、Paradigm領投:今天,合成資產協議Synthetix宣布了由風險投資公司Paradigm,Coinbase Ventures和IOSG領投的1200萬美元的融資。該公司在聲明中寫道,這些投資者直接從Synthetix DAO財政部購買了SNX代幣,并且“將在可能的情況下通過以SNX抵押品的形式提供流動性作出貢獻,并參與其迅速發展的社區治理系統。[2021/2/14 19:45:44]
CRISP跟蹤NFT的銷售速度,并將其與目標速度進行比較。當NFT的銷售速度相對于目標價格過快時,我們希望能夠快速調整價格。與目標速度相比,銷售速度越高,我們想提高價格的速度就越快。另一方面,當NFT的銷售速度相對于目標速度太慢時,我們不希望過于倉促降低價格。畢竟,在過去的某個時候,有足夠的需求來支撐當前的價格。因此,隨著時間的推移,我們會慢慢降低價格。銷售速度
Matcha、dYdX、ParaSwap等未發幣DEX24小時用戶數創新高:DeBank數據顯示,去中心化交易所Matcha、dYdX以及ParaSwap的24小時用戶數量創下新高。去中心化交易所Matcha的24小時交易次數達7480次,相比12月24日漲逾300%,24小時用戶數為5558名,相比12月24日增加近390%;去中心化衍生品交易所dYdX的24小時用戶數為628,相比12月24日漲逾400%;去中心化交易聚合平臺ParaSwap的24小時用戶數量為1396,相比12月24日增加逾12倍。[2020/12/26 16:33:02]
我們使用指數移動和或EMS來衡量銷售速度。EMS是對指數移動平均線的調整,通常用于量化交易,以衡量某個數量在最近加權時間窗口內的累積。它的計算成本很低,并且需要很少的存儲空間。CRISPEMS特別是用來跟蹤最近一段時間內出售的NFT數量,該時間段由銷售平均半衰期定義。平均半衰期為100的銷售意味著100個區塊前的銷售只會增加當前EMS的1/2。區塊b中的EMS遞歸定義為:
動態 | Pantera與Paradigm投資加密經紀公司Tagomi:據TheBlockCrypto消息,風險投資公司Pantera Capital和耶魯大學參與投資的加密基金Paradigm在周一宣布,已向加密經紀公司Tagomi投資1600萬美元。Tagomi為加密投資者提供代理交易服務,此次投資將使該公司的總資產達到2800萬美元。[2019/3/5]

其中S_b是一個變量,表示在區塊b中發生的銷售數量。給定兩個區塊b_1和b_2,假設區塊之間沒有發生銷售,我們有

動態 | Parity錢包重新定位為服務于生產的專業級軟件:據CoinDesk報道,以太坊技術驅動的Parity宣布重大變動,其錢包應用將不再服務于“非技術類消費者”。據最新公布的Parity 2.0客戶端細節,該軟件的定位是“服務于生產的專業級軟件,不應該被看作是終端軟件或者一款‘以太坊錢包’”。[2018/7/19]
我們可以使用上述公式將目標銷售速度轉換為一個目標EMS。假設我們的目標是每n個區塊進行1次銷售,那么目標EMS應該是

提高價格
如果當前的EMS高于目標,則根據定義,銷售速度則太高了。因此,我們希望為下一個NFT銷售收取更多費用,因為這會減少需求,或者至少會增加收入。相對于期望的價格,我們賣出NFT的速度越快,我們更新價格的速度就越快。所以,我們定義一個變量

然后設定

其中價格上漲速度控制價格對目標價格和觀察價格之間差異的反應速度。在此示例中,我們在200個區塊的周期內對CRISP進行建模。我們的目標是每100個區塊進行一次銷售,并使用700個區塊的銷售半衰期。在給定的時期內,我們看到每50個區塊發生一次購買,這超出了我們的目標。這會在每次購買時將EMS推高,價格也會相應做出反應。降低價格
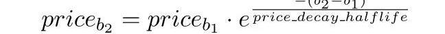
當前EMS低于目標時,銷售速度太低。因此,我們希望為下一個NFT收取更少的費用,使其成為更具吸引力的購買方式。但是,我們希望隨著時間的推移緩慢降低價格,因為我們設法以之前的價格達到了目標速度,而且我們不希望降價超過我們必須的水平。假設最后一筆交易發生在區塊b_1的price_{b_1},那么區塊b_2的價格由下式給出:

其中價格衰減半衰期控制衰減速度。因為我們只想在銷售速度低于目標時衰減價格,如果當前銷售是自銷售速度低于目標速度后的第一次銷售,我們從低于目標時的區塊開始計算衰減,而不是從自上次銷售以來的時間。

在此示例中,我們在300個區塊的周期內對CRISP進行建模。同樣,我們的目標是每100個區塊進行一次銷售。在給定的時間段內,只有一次購買發生在第200個區塊。我們看到當前EMS在前200個區塊上緩慢下跌,但價格直到第100個區塊左右才開始下跌,此時當前EMS跌破目標。由于購買后,EMS仍然低于目標,價格沒有上漲。完整示例
一個較長時間段的CRISP示例。起初,購買速度太高,所以每次購買都會漲價。經過一段時間的沒有購買,價格和購買速度大致穩定。代碼Pythonnotebook和Solidity實現可在https://github.com/FrankieIsLost/CRISP獲得。結論
我們希望CRISP能夠解鎖一系列酷炫有趣的NFT動態。如果您發現任何問題或想到任何改進,我們很樂意聽取您的意見!您可以在Twitter上通過@_Dave__White_、次銷售的區塊上的EMS為

這是一個幾何級數,收斂于

因此,我們可以在目標銷售速度和目標EMS之間進行轉換。
Tags:PARARAEMSPARAParsiqFarming Paradisegems幣APP下載ParagonCoin
在CryptoPunks的帶動下,8月起加密圈就掀起了頭像類NFT熱,其中盛況不再贅述。4個多月過去,頭像類NFT并沒有如一些人所預言的那樣“泡沫破裂”.
1900/1/1 0:00:002007年,喬布斯發布第一款觸屏手機——iPhone,顛覆了互聯網行業規則。2008年,受全球金融危機啟發,中本聰發布比特幣白皮書,開創一種全新的電子貨幣——比特幣.
1900/1/1 0:00:00NFT在2021年可謂風光無限,誰也沒有想到Crypto在2021年的出圈之路會是從NFT開始的.
1900/1/1 0:00:00頭條 MoonbeamNetwork完成啟動過程,已在波卡上線1月11日,波卡生態智能合約平臺MoonbeamNetwork官方表示,已順利完成上線并且成為波卡鏈上第一個完全可操作的平行鏈.
1900/1/1 0:00:00Opensea實時數據顯示,一款名為「OxyaOriginProject」的新NFT系列作品登頂日交易量排行榜,截至北京1月7日10:30,該系列作品的總交易量已達4063.85ETH.
1900/1/1 0:00:00原文作者:offchainlabs當下大家常聽見很多關于ZKRollup如何被認為是通用智能合同系統未來的談論。而我們不同意——這篇文章解釋了原因.
1900/1/1 0:00:00