BTC/HKD-0.59%
ETH/HKD-0.49%
LTC/HKD-0.33%
ADA/HKD-0.82%
SOL/HKD-0.78%
XRP/HKD-0.89%嗨,大家好啊,我們回來啦!希望在我們悄悄建設的這段時間里,您在DeFi方面取得了比較好的收益。我們努力研究智能合約代碼和審計,以及新的數學模型和策略。隨著我們越來越接近發布,我們正在為社區提供新的研究材料。今天,我們想深入UniswapV3的最深處,看看我們是否可以使用一些魔法從中提取一些隱藏的價值。WETH/USDC池50%APY?這可能嗎?我們想邀請您參加我們的理論之旅,該旅程從200天前開始,跨越了幾幕。我們會回到過去,看看我們可以從過去學到什么,以及我們如何改變未來。你準備好了嗎?那就讓我們從最初的UniswapV3時代開始我們的20分鐘冒險。第一幕——謎題
2021年初,UniswapV3向AMM引入了集中流動性的概念。與其在(0,∞)的整個價格范圍內提供流動性,流動性提供者現在可以將他們的代幣放入他們想要的任何價格范圍內。而且由于任何價格范圍都小于(0,∞),他們可以從中賺取更多費用。聽起來很酷,對吧?好吧,顯然并不是每個人都對此感到滿意:https://twitter.com/kaiynne/status/1479335005700562951?s=20&t=kTXr-XaAysZo5E9JBDfYbgUniswapLabs是第一個為其LP提供強大的流動性優化工具的AMM。但是突然之間,UniswapV3的資本管理變得具有挑戰性。任何流動性提供者都需要為流動性提供選擇最佳價格范圍。無常損失、價格風險、內存池……所有這些討厭的細節開始變得重要。專業做市商似乎可以處理它,甚至可以使用JIT等技術提取更多價值。但是那些只想買入并忘記它的人呢?
一用戶從APE質押合約贖回32萬枚APE并轉入幣安出售,因APE價格下跌損失37萬美元:金色財經報道,據鏈上觀察員BitcoinEmber發推表示,半小時前,一位用戶從APE質押合約贖回32萬枚APE (價值約123萬美元)并轉入幣安出售。
該用戶在 APE 這輪行情最高點附近(1/26 日,APE價格為6.12美元)從幣安提出32萬枚APE參與質押,44天的質押他雖然獲得了 35,523枚APE(17.7萬美元)的收益,不過由于 APE 的價格下跌,他最終虧損55萬美元。[2023/3/13 12:59:29]

一種方法是將流動性置于(0,∞)范圍內并忘記它。哇,這是一種解脫!但這不會失去一些寶貴的APY百分比嗎?我們能做得更好一點嗎?等等……Hayden先生不就是在說這個嗎???https://twitter.com/haydenzadams/status/1419715588323217412?s=20&t=CsLZJz_TuFPpymn9P4FD2w謎題的答案很簡單:https://twitter.com/haydenzadams/status/1419773681824325637?s=20&t=5oVc2OZgx-CEH5OSgNKPYw以下是它的詳細工作原理:1.將UniV2價格曲線分成相等的虛擬價格范圍2.將一部分流動性放入當前覆蓋當前價格的范圍內3.將所有其他代幣放入Convex、Ribbon和Yearn等收益協議中,并獲得額外收益4.當價格從一個范圍轉到另一個范圍時,從前者中提取流動性并將其投入后者現在我們已經了解了Hayden戰略的精髓,讓我們看看它是如何運作的。燈光,相機,行動!
美國聯邦貿易委員會正調查Visa和萬事達卡的網絡安全代幣:10月18日消息,知情人士透露,美國聯邦貿易委員會(FTC)正在調查Visa和萬事達卡公司,在過去幾年里,FTC一直在調查Visa和萬事達卡是否阻止商家通過其他借記卡網絡進行支付,近幾個月來,FTC將關注重點擴大到網絡安全代幣,調查Visa和萬事達卡是否一直在限制他們發送的信息,從而限制在線支付通過不同的網絡進行,目前還無法確定此次調查是新的調查還是之前調查的一部分。
據悉,近年來Visa和萬事達卡推動了廣泛的代幣化,并指出這些代幣有助于保護卡免受欺詐,根據商家的說法,這種所謂的做法增加了發卡銀行在由其他網絡處理交易時拒絕交易的機會。(華爾街日報)[2022/10/18 17:30:06]

Alameda Research從Circle提取6500萬枚USDC:10月14日消息,Lookonchain監測數據顯示,Alameda Research今日從Circle提取6500萬枚USDC,并從FTX提取2600萬枚USDC。
昨晚美國CPI數據發布后兩小時,Alameda曾從Circle提取4600萬枚USDC,并將3700萬枚轉至幣安和FTX。之后,ETH價格上漲了9%。[2022/10/14 14:27:53]
太好了……只需少量資金,我們就可以完全復制UniV2倉位,但可以從您倉位中的所有其他資本中獲得額外收益。這似乎是一場巨大的勝利,但我們還能做得更好嗎?第二幕——VooDoo魔術表演
好的,所以我們可以在上一幕中擊敗UniV2。但是我們能用UniV3打敗UniV3本身嗎?答案是肯定的!不出所料,對于任何UniV3價格范圍,我們都可以:1.將UniV3價格范圍分成相等的虛擬價格范圍2.將一部分流動性放入當前覆蓋當前價格的范圍內3.將所有其他代幣放入Compound、Aave和Yearn等收益協議中,并獲得額外收益4.當價格從一個范圍轉到另一個范圍時,從前者中提取流動性并將其投入后者在這里,我們再次使用全能的VMF策略:
趙長鵬:Twitter價格可能略高,無論馬斯克做出什么決定都會支持:金色財經消息,幣安CEO趙長鵬在社交媒體回復網友時表示,Twitter的價格可能略高。但無論如何馬斯克的決定如何,他都會支持。[2022/7/24 2:34:08]

這就是正確的咒語:

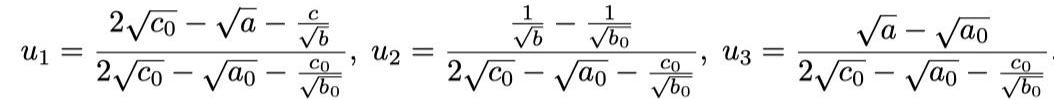
假設我們使用1個單位的財富在區間為UniV3提供流動性。那么集中的UniV3策略將是:其中u_1是提供給UniV3的流動性的一部分,u_2,u_3是提供給生成單代幣策略的流動性的一部分,是的子集,例如a0<a<c0<b<b0,c0是當前價格。UniV3打敗UniV3,聽起來很酷,對吧?但在我們以起立鼓掌結束這一幕之前,我們需要在這里解決一個小細節。如果你仔細閱讀,可能會有一件事潛伏在你的腦海中,讓你感到不舒服——策略的第4步。“當價格從一個范圍變為另一個范圍時,從前者中提取流動性并投入后者。”好吧,我們不能在鏈上的UniV3價格變化上觸發它,對吧?這必須通過外部調用者來完成,這可能會錯過再平衡事件,并且價格可能會遠離具有流動性的價格范圍。在這種情況下,該策略與UniV3不完全一樣。假設我們在5月21日ETH從x跌至y時價格暴跌了40%。我們可以想象會有這樣一條Twitter:
BTC富豪排行榜上排名103-114的地址昨日增持超百枚BTC:5月15日消息,根據加密貨幣分析師Benjamin Cowen的說法,BTC富豪排行榜上排名103-114的地址,不約而同地在5月14日購入了比特幣(約109枚),由于地址余額數量相同且行為一致,合理判斷這些地址背后都是同一巨鯨。這位巨鯨抄底效率更高,地址創建到現在一共只出手三次,第一次出手是2018年12月,第二次出手是2021年7月,第三次就是昨天。[2022/5/15 3:17:12]

總而言之,我們有一個這樣的VMF策略:1.賺取與UniV3倉位相同的費用2.通過在Compound、Aave、Yearn等收益協議中添加自由流動性來獲得額外收益。3.當價格瘋狂時,無常損失受到保護第三幕——金錢
好的,說了那么多數學和公式!讓我們來談談房間里的大象,一個統治這個世界的小問題,一個推動所有成功的小問題——它對我有什么好處?事實證明,這種策略的APY在USDC-WETH對上可以達到驚人的58%,在WBTC-WETH對上達到18%:


在這里,雙代幣策略的APY是通過0xAlexEuler的方法計算的,這對于加密投資者來說看起來更有效(計算兩個代幣之一的APY可以獲得更高的APY,但易于操作——在Twitter中閱讀更多內容。現在想象一下我們接下來可以做什么?一種優于普通UniV3投資的VMF策略。建立一個自動執行此策略的保險庫,所以對于流動性提供者來說只是一勞永逸?肯定的事。但還有更多……事實上,任何基于UniV3的主動管理策略都可以構建在VMF策略之上,并具有……更高的收益和……更低的無常損失!

我們想讓這部戲有一個開放式結局。我知道每個人都討厭開放式結局。但!它們留下了更多的想象空間,這在現在已經很少見了。
比特幣網絡作為第一個DAO可以看作是與荷蘭東印度公司一樣的重大發明,它將不斷升級我們的組織架構以適應當下的數字時代,會極大地改變我們的經濟格局.
1900/1/1 0:00:00去年以來,趨勢表明零知識證明(ZKP)將在未來的加密貨幣和Web3中發揮重要的作用,以實現可擴展性和用戶許可的隱私性.
1900/1/1 0:00:00區塊鏈技術的流行預示著從中心化機構到去中心化機構的根本轉變,使用區塊鏈技術的公司往往以各種方式脫穎而出.
1900/1/1 0:00:00作者:Xiang|W3.Hitchhiker相關閱讀深度解析IPFS:新一代互聯網底層協議Filecoin還有哪些值得關注的呢? 項目簡介 Filecoin是旨在存儲人類社會最重要信息的分布式網.
1900/1/1 0:00:00出品:推特@N_SpaceDAOweb3.0世界可以定義為虛擬現實(virtualreality)和增強現實(augmentedreality)所形成的空間.
1900/1/1 0:00:00作者:餅干,鏈捕手為期15日的Gitcoin第13輪捐贈將于北京時間3月25日上午8點結束,參與本輪捐贈的項目數量目前已經達到830個,主獎金池的資金則從上一輪的100萬元提高到120萬美元.
1900/1/1 0:00:00