BTC/HKD-0.51%
ETH/HKD+0.35%
LTC/HKD+1.17%
ADA/HKD+0.82%
SOL/HKD+1.23%
XRP/HKD+1.56%本文源于十四正在撰寫的《UniSwap從V1到V3的去中心化交易所之路》中用作資料援引,也發現市面文章的推導公式都頗為復雜,且重要邏輯轉換缺乏描述,而無常損失又是Dex中AMM的重要部分,故單獨成文。如讀者對無常損失以及對應影響有興趣的,亦可直接跳轉文末閱讀白話版本。本文推導基于AMM經典恒積公式

AMM機制簡介可閱讀:一文講清-NFT市場新秀SudoSwap的AMM機制-創新挑戰與局限部分公式中虛線系公式編輯器誤操作,無實際意義如需word源文檔可在公眾號后臺回復“無常損失”獲取Part1:計算初始持有價值
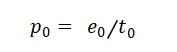
假定我持有若干e0(ETH)以及若干t0(Token),初始兩者價值相等,如1e0=10t0,用公式表達其token的價格則p0為:

ChatGPT金融業應用首批研究成果可解讀美聯儲聲明、預測股價:金色財經報道,Man AHL機器學習在4月發表了兩篇新論文——《ChatGPT能否解讀美聯儲表態?》和《ChatGPT可以預測股價走勢嗎?回報可預測性和大型語言模型》,將這一人工智能聊天機器人應用于市場相關的任務,一項是解讀美聯儲的聲明是鷹派還是鴿派,另一項是確定消息面對某只股票而言是利好還是利空。ChatGPT在兩項測試中都取得了出色的成績,暗示該技術在將新聞報道、推文和演講稿等大量文字轉化為交易信號方面,可能邁出了重大一步。(新浪財經)[2023/4/18 14:09:37]
則我持有的總價值等于數量*價格為:

如果未進行Uniswap注入Lp的行為,則未來即使token對比Eth的價值變動,產生了新的價格,則我介時的資產總值VH為:

Velo實驗室副董事Beam:解讀Velo收購Interstellar背后布局:金色財經報道,3月17日下午16:00,金色財經與歐易OKEx聯合舉辦“金色財經對話Beam:解讀Velo收購Interstellar背后布局“,邀請Velo 實驗室副董事長 Tridbodi Arunanondchai(Beam)作為嘉賓講述背后故事。
在直播中,Beam表示,Velo的目標是建立一個賦能傳統銀行商業并將其與最新的中心化和去中心化商業相鏈接的橋梁。
在談及本次收購的原因時,Beam解釋道,Velo與Stellar有著共同的目標和愿景,并且雙方在能力上互相補充互相賦能。Interstellar團隊在提供更快、更低廉以及更穩定的給予Stellar網絡的跨境支付方案中有著極深厚的經驗。因此彼此的融合是一個非常自然的選擇。這次合并將使其成為行業里更強、更有影響力的團隊。[2021/3/18 18:56:33]
Part2:為UniSwap注入流動性
我們可以將ETH和代幣兩者按一定比例注入流動性,這里方便計算假定為按總值各占50%的注入,流動性池會給我們Lp的憑證,如10個LpToken用于證明我們占據當前總流動性的分紅權益股份。由于恒積公式,只有注入和抽離LP會改變K值
現場 |中國電子技術標準化研究院周平解讀區塊鏈技術:金色財經現場報道,今日下午,在北京召開的區塊鏈應用技術高峰論壇暨區塊鏈應用技術專項賽頒獎典禮上,中國電子技術標準化研究院軟件工程評估中心主任周平在《區塊鏈及其標準化》的主題報告中,介紹了國際標準化情況和《區塊鏈和分布式記賬技術 術語》標準 ISO 22739。他提到區塊鏈是通過加密,將經驗證和校驗的區塊鏈接,形成的分布式賬本; Token是利用加密技術控制產生的資產的表現形式,該資產也通過加密技術校驗所有權轉移或狀態變化等。[2018/9/6]

所以可以推導出計算當前e1的數量公式:

最終

《金色講堂》今晚開講 蔡維德將多角度為用戶解讀區塊鏈行業:4月8日晚8:00國家特聘區塊鏈專家蔡維德將在《金色講堂》中對區塊鏈發展方向進行深入解讀,本次課程主題為“2018風向變了,區塊鏈正式啟航”。蔡教授將從監管、Token等方面對區塊鏈進行全方位解讀,詳情請關注晚上8:00的《金色講堂》。[2018/4/8]
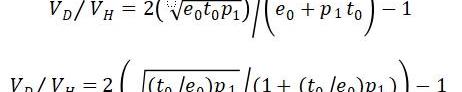
如此綜合計算我們可以提取的流動性價值VU是

此處得出VU的將構成后續無常損失部分的被減數,因此特地為VU推導了上訴的兩個采用e1以及不采用e1的公式Part3:無常損失公式推導
依據Part1我們得出了保持持有當前token的價值VH,依據Part2我們得出了不用持有而是投入Uniswap做LP的總價值VU,顯而易見:Divergenceloss應該是VD

韓國強監管信號解讀:政府尚未形成統一意見:金色財經獨家采訪了韓國幾大主流交易所負責人,他們向金色財經透露本次強監管信號的形成原因。其中提到,由于韓國近期比特幣價格高于其他國家交易所,促使更多投機者進入韓國市場搬磚,這加大了外匯場外交易風險,為防止某些換匯公司鋌而走險進行違法行為,故發布了此條公告。同時,據韓國相關人士透露,政府不同機構對加密貨幣的立場不一,法務部對加密貨幣態度最嚴格,其他政府部門雖強調了加密貨幣監管的重要性,但仍對其持開放態度。因此有專家認為,韓國政府部門的意見不統一,不會立即出臺強監管政策。[2017/12/28]
由于價值漲跌應該依據其對于原始價值的比值,所以我們把等式兩邊都除以VH

此處帶入上文Part1和2結論中的VH與VU詳細公式

所以無常損失率VD/VH為:

這時最關鍵的一步,無常損失發生在有價格差的兩個時間段上,所以我們來帶入價格的變化率R,其等于兩個時間的價格相除

結合Part1中的公式

所以R也等于

結合無常損失率VD/VH我們將核心部分都乘以e0來形成只有R的最終公式

這樣則可以化簡出只有R來表示的無常損失率

由于最終無常損失率值和R值有關系,則也意味著只要R有變動,無論增加還是減少,都將產生無常損失,并且按倍數衡量是一個對等的數值Part4圖表化無常損失公式
我們可以通過繪圖工具來呈現這個公式的結果,雖然下圖看似是一個非對稱的曲線,但實際上是對稱的,因為他是一個相對的倍率,即對于原價值的1ETH=100Dai而言,跌到1ETH=50Dai是下跌1倍,等于漲到1ETH=200Dai則是上漲1倍,其無常損失是相同的均為5.72%


如何理解無常損失?無常是什么意思?首先他是命名不恰當,之前選擇“無常”這個詞是因為如果價格背離被逆轉,那么由于價格背離造成的損失也會被逆轉,后來更多的文章會采用來描述他。無常損失在何時發生?如果價格回到與流動性提供者增加流動性時相同的價值,這種損失就會消失。這種損失只有在流動性提供者撤回其流動性時才會實現,并且是基于存款和取款之間的價格差異無常損失會超過導致LP入不敷出嗎?流動性提供者的實際回報,其實是價格差異造成的背離損失與交易所交易的累計費用之間的平衡。

如上圖,該賬戶自成為LP以來,與僅持有原始資金相比,該賬戶一直處于凈負頭寸。這是由于在此期間ETH價格變動造成的巨大背離損失。然而,自始至終總費用一直在穩步累積。隨著ETH價格接近提供流動性的價格,大部分損失會被扭轉。無常損失究竟來源何處?向市場提供流動性做LP,即成為做市商,實際上是和市場中的用戶做對手盤。而AMM是被動的和市場中的用戶做對手盤,即當市場中大部分人看好ETH的后續市場,則會用DAI買入ETH,你的流動性池子會被動的增加DAI而減少ETH。所以,提供流動性就代表了總是和市場做反向的操作,總是傾向去持有更多的弱勢資產。于是當ETH上漲,你的流動性會不斷提前拋出ETH,而拿到更多的DAI,這些被提前拋出的\nETH就成了無常損失的來源,即這個時候無常損失可以理解為你在ETH上的踏空損失,或者是被外部套利者拿走了池內的價值。相關資料https://uniswap.org/whitepaper.pdfhttps://pintail.medium.com/understanding-uniswap-returns-cc593f3499efhttps://pintail.medium.com/uniswap-a-good-deal-for-liquidity-providers-104c0b6816f2https://hackmd.io/@HaydenAdams/HJ9jLsfTzhttps://github.com/Dapp-Learning-DAO/Dapp-Learning/blob/main/basic/13-decentralized-exchange/uniswap-v1-like/README.md歡迎你從公眾號后臺留言作者探討web3行業問題點贊關注十四,用技術視角帶給你價值
本文總結了在zk領域中的100家公司的市場地圖,這些公司正在幫助推動這項新技術的發展,這些zk技術的類別和用例都還處于初期階段.
1900/1/1 0:00:00注:本文寫于2023年1月12日,數據或與當前市場行情存在偏差1.宏觀宏觀數據和事件有市場較大影響,數據公布時會有劇烈波動.
1900/1/1 0:00:00美國通脹繼續保持粘性,推遲了投資者對美聯儲暫停加息周期的預期。勞工部周二公布的數據顯示,雖然1月份通脹繼續降溫,但另一方面,隨著能源、食品和租金價格的上漲,降溫的步伐有所放緩.
1900/1/1 0:00:00本文是「監管Web3應用程序,而不是協議」系列的第四部分,該系列建立了一個Web3監管框架,以維護Web3技術的好處,保護互聯網的未來,同時減少非法活動和消費者傷害的風險.
1900/1/1 0:00:00基于上一篇研報引發的思考和討論,@MapleLeafCap和我想進一步總結分享我們這一年在探索「Web3+游戲」過程中領會到的新知——即,抽稅制是更適合Web3游戲的商業模式.
1900/1/1 0:00:00今天,有關「SEC禁止加密質押服務」的傳聞得到證實,美國加密交易所Kraken成為第一個「制裁對象」.
1900/1/1 0:00:00