BTC/HKD-0.21%
ETH/HKD-2.12%
LTC/HKD-2.98%
ADA/HKD-4.87%
SOL/HKD-2.96%
XRP/HKD-3.21%Solana生態項目逐步增加,借貸、DEX以及衍生品等協議開始豐富起來。Mercurial也是Solana生態上的項目之一。它提供穩定資產兌換服務,這聽上去跟目前以太坊生態中的Curve似乎差別不大。不過,作為后來者,它有更多的機會去學習之前DeFi協議的一些優點。這可以從它的設計中看出來,它在用戶最為關注的交易滑點、LP收益、資產利用率等方面都做了一定的迭代優化。
Mercurial從穩定幣AMM資金池開始切入,為Solana生態提供USDC、USDT、wUSDC、wUSDT等穩定幣的兌換服務,隨著對用戶需求的把握和生態的發展,Solana也計劃為更多穩定資產提供流動性服務。
那么,Mercurial有哪些迭代值得關注?我們先從其整體框架入手。
理解Mercurial的框架
我們可以看看Mercurial的框架圖:

(Mercurial的核心部分,來自Mercurial)
可以看到核心有幾個:Vault(資金庫)、Yield(種地或挖礦)、動態費用、DAO治理。
SEC在Coinbase案中將SOL、FIL等代幣定義為證券:6月6日消息,SEC在Coinbase案中將SOL、ADA、MATIC、FIL、SAND、AXS、CHZ、FLOW、ICP、NEAR、VGX、DASH和NEXO定義為證券。[2023/6/6 21:19:19]
Mercurial有動態的做市資金庫。它的資金庫為穩定資產兌換提供自動做市,LP可以將其穩定資產存入到Mercurial的資金庫中,然后為穩定資產兌換提供流動性,同時通過種地或挖礦等獲得外部協議的收益,如參與借貸、閃電貸以及收益聚合等。此外,LP的費用收益也不是固定的,而是動態變化的,這也是它與眾不同的一個設計。
具體分解來看,有幾個方面是理解Mercurial的關鍵:
Mercurial在降低滑點上的設計
我們知道,目前AMM上進行較大額度的兌換,往往會帶來較高的滑點。即便是穩定資產的兌換也會如此。
Mercurial跟通常的X*Y=Z的AMM做市模式不同,它的主要不同如下圖:

Coinbase:Solana有能力重新確立自己作為真正Layer 1競爭對手的地位:金色財經報道,Coinbase在一項研究中表示,Solana 社區對 FTX 的崩潰和廣泛的市場一樣感到震驚,并指出創始人 Anatoly Yakovenko 認為區塊鏈與 FTX 的內在聯系被夸大了。
Coinbase 表示,鑒于生態系統在交易、用戶和開發方面的網絡活動方面的相對優勢,Solana 有能力重申自己是真正的Layer 1競爭對手。Layer 1網絡是區塊鏈的基礎層。該報告稱,目前 Solana 上的活動與以太坊上的活動相比有優勢,這表明 SOL相對于ETH可能被低估了。[2023/2/23 12:25:29]
(Mercurial的做市滑點變化,來自Mercurial)
紅線是傳統AMM做市模式下的滑點變化,藍線是Mercurial的做市模式下的滑點變化。這看上去滑點很低。它是怎么設計的?
主要有兩個方面,一是在提供流動性代幣對資產時,Mercurial并沒有要求提供流動性的代幣對一定為1:1配置,可以靈活配置。二是,Mercurial利用了放大化的價格曲線,將流動性集中到所需范圍內。如果用戶的交易超出交易率范圍,會獲得較少流動性的支持。
Solana基金會傳播負責人:y00tlist推特賬戶恢復前將暫停所有廣告支出:8月31消息,Solana 基金會傳播負責人 Austin Federa 在社交媒體發文表示,我已經暫停了 Solana 基金會所有(對推特)的廣告支出,直到恢復 Solana 生態市值最高的 NFT 項目 DeGods 二代項目 y00tlist 的賬號。之所以說推特一團糟,是因為它既不透明,也不負責任。也許 y00ts 做了什么不好的事,也許推特核實出了一個 y00ts 的虛假賬戶。問題在于透明度和誠實度——沒人知道為什么會發生這種事,也沒人知道該和誰溝通。[2022/8/31 13:00:18]
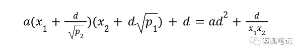
可以通過Mercurial提出的兩個公式來簡單說明:
有兩個代幣組成代幣對提供流動性,假設代幣為X1,X2;其兌換率波動范圍為p1,p2,在常數乘積做市模式下,其公式表達為:

(來自Mercurial)
Mercurial在這個基礎上,增加了一些放大系數a,那么得出如下的公式:
數據:當前Solana生態總市值為178.27億美元,近24小時下跌0.6%:金色財經消息,據CoinGecko最新數據顯示,當前Solana生態總市值為178.27億美元(截至發稿時為17,827,771,800美元,近24小時下跌0.6%),24小時交易額為1,396,861,653美元。[2022/7/3 1:48:06]

在這個公式中,系數a如果是無限大,那么,其所有的流動性都集中在價格范圍p1-p2;如果系數a無限接近于0,那么這個公式就相當于常數乘積的做市模式。
通過上述的設計,Mercurial試圖降低用戶兌換的滑點。這些的設計思路,我們在balancer和dodo上也看到過類似的思考,不過Mercurial目前主要聚焦于穩定資產的兌換為主。
Mercurial在增加LP收益上的設計
在傳統的AMM中,LP的費用收益一般來說是固定的。比如Curve一般是0.04%;在Uniswap V2一般默認是0.3%;在Uniswap V3則做了可供選的費用:0.05%、0.3%以及1%。
專注于擴展Solana生態基礎設施的開發公司Syndica完成800萬美元種子輪融資:金色財經報道,隨著SOL創下新高,億萬富翁Chamath Palihapitiya投資了800萬美元于專注于Solana的初創公司Syndica。這家Web 3.0初創公司專注于構建Solana區塊鏈的生態系統。[2021/11/4 6:30:31]
跟這些相對固定的費用設計不同,Mercurial采用動態費用設計。在Mercurial中,所有的代幣對資金庫共享相同的動態費用機制。
采用動態費用機制的動機在于為LP提供更合理的收益,當兌換需求增加,其兌換手續費也會隨之增加。尤其是當市場波動性大時,通過更高的手續費,可以減少LP的無常損失,并獲得更高收益。如果市場波動小,用戶兌換需求較小,手續費也會下降,從而激勵用戶進行交易。
Mercurial在確定其費用時,會使用長時間窗口和短時間窗口的交易量衡量,并采用EMA(Exponential Moving Average指數移動均線)計算,其費用基于交易量比率更新。下圖表示基于市場波動性變化的費用更新。

Mercurial在提升資產收益方面的設計
除了在降低滑點和為LP代提供動態費用收益方面的設計之外,Mercurial還有一個不同的設計是,它會從資金庫的資產中進行動態分配管理,將其配置到外部協議。而其分配算法是通過鏈上的算法管理。除了資產的配置之外,Mercurial的資產管理還包括利息和收益收集,退出特定平臺以及清算所得收益等。

(Mercurial資金庫的部分資金用于種地耕作,來自Mercurial)
這些收益計劃只有得到DAO的批準之后,才能部署到外部的平臺。DAO來決定每個資金庫可以部署到外部協議的比例。外部收益平臺包括閃電貸、借貸平臺、帶杠杠的穩定幣借貸或其他收益資金庫等。平臺會根據收益、風險以及流動性情況進行選擇。通過收益計劃,做市商的資產利用率得到提升。
MER代幣機制
Mercurial的代幣是MER。MER代幣有機會捕獲如下價值:
兌換的手續費用
MER代幣持有人有機會獲得Mercurail平臺上交易手續費。MER具體如何捕獲交易費用,是回購并銷毀MER,還是分配MER,則會通過DAO治理來決定。
種地收益傭金
MER持有人有機會獲得“種地”或“挖礦”收益的傭金。根據DAO治理,可以通過購買并銷毀MER代幣的形式,也可以通過質押MER代幣獲得相應分配的形式。
合成資產的抵押品
在生成合成資產或其他穩定資產時,MER會被用作為主要的質押代幣。如果合成資產的需求增加,那么會產生對更多MER代幣的需求。這一點類似于Synthetix的SNX代幣的質押功能。
治理價值
在Mercurial的DAO治理中,其主要工具是MER代幣。通過它可以參與DAO的治理。而DAO治理可以決定協議的一些重要參數和決議。比如確定交易以及資金庫收益的基礎費用和傭金;費用是否用于銷毀或分配;可以將資金庫資產部署到哪些協議;資金庫用于種地或挖礦的比例;應該推出哪種新合成資產;LP和質押者獎勵機制;為保險池注入多少資金,以應對資產脫錨的風險等。
這意味著MER本身也有治理價值,如果Mercurial有機會成長起來,那么其治理的重要性會顯現出來。
此外,Mercurial的流動性提供者存入資產可以獲得LP代幣。LP代幣:
1)可以質押用于MER代幣的流動性挖礦;
2)可以在Mercurial資金庫中進行再投資;
3)可在其他借貸平臺用于抵押品;
4)可用于合成資產的生成。
Mercurial的冷啟動計劃
為實現冷啟動,Mercurial試圖從如下幾個方面入手:
用戶界面上,盡可能符合CEX和EVM(以太坊用戶)用戶體驗的設計,以此減少使用摩擦;
鼓勵Kyber社區的參與,Kyber有超過10萬代幣用戶,通過Kyber社區,Mercurail試圖完成初步用戶的積累。
Mercurial的切入點
從上述來看,Mercurial本身更像是一個穩定資產管理協議。它通過其穩定資金庫的構建,為交易者提供穩定資產兌換服務,為流動性提供者提供做市收益、種地或挖礦等資產管理收益。從這個角度,其核心在于對穩定資產的管理。
因此,Mercurial能否取得成功,主要取決于其對穩定資產管理能否成功。而穩定資產管理能否成功主要取決于其穩定資產兌換、穩定資產種地/流動性挖礦收益等。
從這個角度,Mercurial的第一個切入點是對DEX協議的升級迭代,它聚焦于為穩定資產交易者提供更低的滑點,由此吸引交易用戶。而更大規模的交易用戶,會吸引更多的流動性提供者。流動性提供者是Mercurial資金庫的注入者,它們希望有更高的收益,這個收益可以來自于流動性提供,也可以來自于種地或挖礦等。
此外,除了協議本身機制的設計,Mercurial還有一個切入點是,它不是從以太坊生態切入,也不是從波卡、BSC或HECO等鏈切入,而是從Solana切入。這意味著,它早期會主要服務于Solana生態用戶,其早期能否成功也跟Solana生態整體發展息息相關。
編者按:本文統計分析了特斯拉、Nexon、美圖以及MicroStrategy的比特幣持倉數據。大部分企業機構的持幣目的都是為了“對沖通脹,多元化投資組合,維持企業財政儲備的長期購買力”.
1900/1/1 0:00:00拋開迷霧,本輪牛市的驅動力依然是機構,山寨潮其實意義沒那么大。5月12日新浪微博的直播中,我們被問到最多的一個問題是:牛熊周期什么時候到來?而我們上一篇文章討論的是,垃圾幣橫行是否代表了牛市行將.
1900/1/1 0:00:00摘要 ?基于區塊鏈的產業金融服務項目由中國銀行發起,長亮科技為首批服務商。該項目主要應用于供應鏈金融場景,面向產業鏈條上下游及衍生生態的企業客戶及個人客戶預計最多服務企業客戶2萬戶.
1900/1/1 0:00:00這一周,遭到閃電貸攻擊的 DeFi 協議的幣價,就像 5 月的天氣--說崩就崩。在眼下,頻繁的閃電貸攻擊再次上演,一周接連幾個協議的代幣價格險些歸零,涉及到的損失金額數百上千萬,DeFi 協議開.
1900/1/1 0:00:00注:原文由Carl Beekhuizen發表在以太坊基金會官網。長話短說:以太坊在合并完成后的能源消耗至少能減少99.95%.
1900/1/1 0:00:00自比特幣誕生以來,“幣圈”熱度有增無減。近期,隨著“狗狗幣”“柴犬幣”等名人加持的虛擬幣紅遍全球,“炒幣”之聲遍布街頭巷尾,在很多人看來,借“炒幣”獲取巨大財富,似乎并非難事.
1900/1/1 0:00:00